Nemesida
Оставьте свой номер, мы свяжемся с вами в ближайшее время
должен начинаться на +7
Заказать звонок

Жиры

Молекула липида содержит те же структурные элементы, что и углеводы, но различается в их связях и числе атомов. В частности, липидное соотношение водорода к кислороду значительно превышает такое у углеводов. Например, формула C57-H110-O6 описывает обычный стеарин с соотношением Н:О, как 18,3:1, тогда как для углеводов постоянное соотношение 2:1.

Липид – это общий термин для гетерогенной группы соединений, включающей масла, жиры, воски и родственные соединения. Масла становятся жидкими при комнатной температуре, тогда как жиры остаются твердыми. Почти 98% пищевых липидов существует в форме триглицеридов (соединения глицерина и жирных кислоты), в то время, как около 90% жира в организме находится в форме жировой ткани подкожного слоя. Благодаря высокой калорической «плотности» (в среднем 9 ккал/г,
по сравнению с 4 ккал/г у глюкозы), жиры составляют более 80 % энергетических запасов в организме. При нормальном питании жиры обеспечивают до 40 % от общей калорийности питания.

Виды и источники липидов

Растения и животные содержат липиды в форме длинных гидрокарбонатных цепей. Липиды в целом сальные при прикосновении, не растворимы в воде, но растворяются в неполярных органических ацетоновых растворителях, эфирах, хлороформе и бензине.
Согласно общей классификации липиды делятся на 3 основные группы:
  1. Простые липиды: жиры - сложные эфиры жирных кислот с глицеролом (масла - если в жидком состоянии); воска;
  2. Сложные липиды - сложные эфиры жирных кислот со спиртами, дополнительно содержащие другие группы: фосфолипиды (содержат группу фосфорной кислоты); гликолипиды - липиды, содержащие жирную кислоту, сфингозин и углеводный компонент; другие сложные липиды: липопротеины
  3. Дериваты липидов или жироподобные вещества - жирные кислоты, глицерол, стероиды, альдегиды жирных кислот и кетоновые тела, жирорастворимые витамины и гормоны.
Жиры обладают высокой энергетической ценностью: 1 г жира при окислении дает 37.7 кДж (9 ккал), по сравнению с 4 ккал/г глюкозы. Жиры обеспечивают в среднем 33% суточной энергоценности рационов, входят в состав клеток и клеточных структур (пластическое значение), участвуют в обменных процессах. С жирами поступают необходимые для жизнедеятельности вещества: витамины А, D, E, незаменимые жирные кислоты, лецитин. Жиры обеспечивают всасывание из кишечника ряда минеральных веществ и жирорастворимых витаминов. Жиры улучшают вкус пищи и вызывают чувство сытости. Они могут образовываться из углеводов и белков, но в полной мере ими не заменяются. Сравнительная характеристика количества жиров в различных продуктах представлена в табл. ниже.  

Простые жиры

Простые жиры или «нейтральные жиры» состоят в основном из триглицеридов – название описывает глицерин, ацитилированный тремя жирными кислотами. Жиры «нейтральные», потому что внутри клеток они не несут электрически заряженных групп. Эти полностью неполярные молекулы не имеют аффинности к воде. Триглицериды составляют основную форму хранения жира в жировых клетках или адипоцитах. Эти молекулы содержат две группы атомов. Первая – глицерин, состоящий из трех молекул углерода, и сам по себе не классифицируется как липид, так как растворим в воде. Вторая - это три группы неразветвленных углеродных цепей называются жирными кислотами и привязаны к молекуле глицерина.
Карбоксильная группа (-СООН) на конце одной жирной кислоты придает молекуле ее кислые характеристики.
Жирные кислоты имеют прямые гидрокарбонатные цепи с 4 атомами углерода или более 20, хотя более характерны 16 или 18. По мере увеличения длины жирной кислоты она становится менее растворима в воде и таким образом более маслянистой по жировым характеристикам.
Синтез (конденсация) триглицеридной молекулы продуцирует 3 молекулы воды. И наоборот, во время гидролиза, когда фермент липаза расщепляет молекулу на составляющие, три молекулы воды присоединяются к точкам, где жирная молекула распалась. Рисунок ниже иллюстрирует базовую структуру насыщенной жирной кислоты и ненасыщенной жирной кислоты.
Рис. 1 А. Насыщенные жирные кислоты.
Атомы углерода связаны единственной связью и делают жирные кислоты компактными. Нет двойных связей, цепи жирных кислот прилегают плотно друг к другу, формируя «твердый» жир. На рисунке пальмовая кислота.
Рис. 1 B. Ненасыщенные жирные кислоты.
Атомы углерода имеют двойные связи, увеличивая расстояние между жирными цепями. Цепи жирных кислот не прилегают плотно друг к другу, что продуцирует «более мягкий» жир или масло. На рисунке линоленовая кислота.
Все липиды, содержащиеся в пище, состоят из смеси таких кислот в различной пропорции. Жирные кислоты так называются из-за органической кислой молекулярной части (-СООН) в их химической структуре. Человеческий жир содержит обе формы жирных кислот.
В питании различают жиры "видимые" (сливочное и растительные масла, маргарины и др.) и "скрытые" - в составе различных продуктов.
Триглицериды со средней длиной углеродной цепи (СЦТ) имеют более высокую усвояемость, чем другие виды триглицеридов. Они гидролизируются в кишечнике без участия желчи, больше атакаются липазами. Они гидролизируются в кишечнике без участия желчи, больше атакаются липазами. Кроме того, введение среднецепочечны триглицеридов оказывает гипохолестеринемический эффект, так как они не участвуют в мицеллообразовании, необходимом для всасывания холестерина. Недостатком применения препаратов, содержащих триглицериды со средней длиной углеродной цепи, является то, что они используются исключительно как энергетический (но не пластический) субстрат. Кроме того, окисление таких жирных кислот приводит к интенсивному накоплению кетоновых тел и может усугубить ацидоз.

Насыщенные жирные кислоты

Насыщенные жирные кислоты содержат только одинарные ковалентные связи между атомами углерода; все остальные связи заняты водородом. Если углерод в цепи жирной кислоты связан с максимально возможным числом атомов водорода и поэтому она называется насыщенной жирной кислотой.
Насыщенные жирные кислоты встречаются в основном в животных продуктах, таких как говядина (52% насыщенных жирных кислот), ягнятина, свинина, цыпленок, яичный желток и молочные продукты – сливки, молоко, масло (62% насыщенных жирных кислот), сыр. Насыщенные жирные кислоты из царства растений включают кокосовое и пальмовое масло, овощные шотеринги и гидрогенный маргарин, кондитерские торты, пироги и печенье содержат большое количество этих жирных кислот.

Ненасыщенные жирные кислоты

Ненасыщенные жирные кислоты могут делиться на следующие подгруппы:
  • Мононенасыщенные (моноэтеноид, моноеновые) кислоты – содержащие одну двойную связь.
  • Полиненасыщенные (полиэтеноид, полиеновые) кислоты – содержат две и более двойные связи.
  • Эйкозаноиды: эти соединения, полученные из эйкозы (20-угледроных) полиеновых жирных кислот, содержат простаноиды, лейкотриены (LTs) и липоксины (LX). Простаноиды включают в себя простагладины (PGs), простациклины (PGIs) и тромбаксаны (TXs).

Ненасыщенные жирные кислоты содержат одну или более двойных связей вдоль их длинной углеродной цепи. Каждая эта двойная связь в цепи уменьшает потенциальное число водород-связывающих мест, молекула, таким образом, ненасыщена в отношении водорода.
Мононенасыщенные жирные кислоты содержат одну двойную связь в углеродной цепи; примерами служат масло канолы, оливковое масло (77% мононенасыщенных жирных кислот), арахисовое масло, миндальное, ореха пекан и авокадо.
Полиненасыщенные жирные кислоты содержат 2 или более двойных связей вдоль углеродной цепи; сафлоровое, подсолнечное, соевое, кукурузное.
 
Несколько полиненасыщенных жирных кислот, например, арахидоновая, линолевая и линоленовая кислота (в 18 углероде с двумя двойными связями) должна попадать с пищей, так как служит предшественником других жирных кислоты, которые организм не может синтезировать сам и поэтому они называются эссенциальными жирными кислотами. Эти вещества являются активной частью клеточных мембран, регулируют обмен веществ, в частности, обмен холестерина, фосфолипидов, ряда витаминов. Они образуют в организме тканевые гормоны, простагландины и другие биологически активные вещества, положительно влияют на состояние кожи и стенок кровеносных сосудов, жировой обмен в печени. Наиболее активна арахидоновая кислота, но в жирах пищи ее мало. Она образуется в организме из линолевой кислоты. Поэтому нормальная потребность в линолевой кислоте: 4-6% суточной энергоценности пищевого рациона, что составляет 12-15 г линолевой кислоты.
Линолевая и образуемая из нее арахидоновая кислота относятся к омега-6-жирным кислотам, линоленовая кислота и продукты ее метаболизма эйкозо-пентаеновая и дексогексаеновая - омега-3-жирные кислоты. Дефицит эссенциальных жирных кислот в рационе вызывает, прежде всего, нарушение биосинтеза арахидоновой кислоты, которая входит в большом количестве в состав структурных фосфолипидов и простогландинов. Содержание линолевой и линоленовой кислот во многом определяет биологическую ценность пищевых продуктов. Отсюда необходимость оценки рационов по содержанию в них линолевой кислоты. (см табл.ниже). Примерно 25 г подсолнечного, кукурузного или хлопкового масла обеспечивают суточную потребность в линолевой кислоте. Установлено, что именно дефицит незаменимых жирных кислот отрицательно влияет на организм при малом потреблении или отсутствии жиров в пище. Дефицит этих кислот является одной из причин нарушения обмена холестерина и развитии атеросклероза.

Цис-транс-изомерия ненасыщенных жирных кислот.

У ненасыщенных жирных кислот наблюдается геометрическая изомерия, обусловленная различием в ориентации атомов или групп относительно двойной связи. Если ацильные цепи располагаются с одной стороны от двойной связи, образуется цис-конфигурация, характерная, например, для олеиновой кислоты, если же они располагаются по разные стороны, то молекула находится в транс-конфигурации, как в случае элаидиновой кислоты – изомера олеиновой кислоты.
Рис. Геометрическая изометрия жирных кислот. Олеиновая и элаидиновая кислоты 18:1
Природные полиненасыщенные кислоты почти все имеют цис-конфигурацию, образуя угол в 120 градусов в месте двойной связи, тогда как элаидиновая кислота на участке с двойной связью сохраняют линейную транс-конфигруацию. Увеличение числа цис-двойных связей в жирных кислотах ведет к увеличению числа возможных пространственных конфигураций молекул, что влияет на упаковку молекулы в мембране и на положение в таких сложных молекулах, как фосфолипиды. Большинство транс-конфигураций образуется в качестве побочного продукта в процессе гидрогенизации, благодаря которой жирные кислоты переходят в насыщенные формы. Некоторое количество транс-жиров содержится в животных жирах, образующихся под действием микроорганизмом, присутствующих в рубце жвачных животных.
Транс-жиры увеличивают уровень ЛПНП в крови и снижают концентрацию ХЛ ЛПВП. Доказано, что транс-жиры увеличивают риск сердечно-сосудистых заболеваний.
Жирные кислоты из растений в целом остаются ненасыщенными и жидкими при комнатной температуре. В отличие от липидов, содержащих более длинные (больше углеродов в цепи) и более насыщенные жирные кислоты, существующих в твердом состоянии при комнатной температуре, тогда как короткие или ненасыщенные остаются мягкими.
Масла, существующие в жидкой форме, содержат ненасыщенные жирные кислоты.
Химической процесс гидрогенизации, превращающий масла в полутвердое состояние путем вдувания жидкого углерода под давлением в растительное масло. Это уменьшает число двойных связей замещая их одинарными и присоединяя больше водорода.
Более твёрдые масла производят добавлением углерода, чтобы увеличить температуру плавления масла. Гидрогенированные масла ведут себя как насыщенные, и наиболее часто входят в состав заменителей жиров и маргаринов.

Липиды в диете

Среднее лицо употребляет около 15% калорий в форме насыщенных жирных кислоты, эксивалентные 23 кг ежегодно. Отношение между употреблением насыщенных жирных кислоты и риском коронарных болезней сердца доказана работаниками здравоохранения, и рекомендованы следующие действия:
1. Замена, как минимум порцию  насыщенных жирных кислот или всех транс-жирных кислот на негидрогенизированные мононенасыщенные и полиненасыщенные масла.
2. Сбалансированть питание и регулярную физическую нагрузку, минимизировать набор веса и приобрести здоровые привычки регулярных физических тренировок.
Рыбий жир. Рыбий жир содержит омега-3-жирные кислоты, который находится в основном в жире моллюсков и сельди и макрели и морских млекопитающих. Регулярное употребление рыбы, минимум 2 порции в неделю и рыбего жира, положительно влияет на липидный профиль и риск смерти (вероятность смерти от желудочковой фибриллции и внезапной смерти); болезнь Альцгеймера; воспалительный риск; и (для курильщиков) риск обострения хронической обструктивной болезни легких. 
Один из предполагаемых механизмов защиты сердца, предполагают, что рыбий жир помогает предотвратить образование тромба на сосудистой стенке. Он также подавляет рост атеросклеротических бляшек и общее сосудистое сопротивление, и стимулирует доставку эндотелиалного оксида азота в миокард.

Сложные жиры

Сложные липиды, компоненты триглициридов, комбинированные с другими соединениями, представляют около 10% обещего жирового состава организма. Одна группа - фосфолипиды - содержит одни или несколько молекул жирных кислоты, соединенных с фосфор-содержащими молекулами. 
Другая группа липидов ключает гликолипиды (жирные кислоты, соединенные с углеводом или нитрогеном и водорастворенимые липопротеины  - которые обеспечивают основной путь транспорта жиров в кровь.

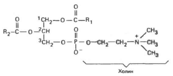
Фосфорлипиды

Фосфолипиды являются незаменимыми компонентами организма. Основная их роль - обеспечение фундаментальной структуры мембраны, как барьера проницаемости.
Выделяют 4 основных функций фосфолипидов:
1. Взаимодействие как с водными и жирными молекулами, чтобы регулировать транспорт через клеточную мембрану.
2. Поддержание структурной целостности клетки.
3. Играют важную роль в образование кровяных тромбов
4. Обеспечивают структурную целостность изоляционной оболочки, которая окружает нервные волокона.

К фосфолипидам (фосфатидам) принадлежит лецитин (фосфатидилхолин), в составе которого имеются глицерин, ненасыщенные жирные кислоты, фосфор и витамин холин. Лецитин не является незаменимым пищевым веществом, но имеет важное значение в питании. Лецитин способствует перевариванию, всасыванию и правильному обмену веществ, усиливает желчеотделение, в соединении с белком образует мембраны клеток, нормализует обмен холестерина. Лецитин оказывает липоторопное действие: уменьшает накопление жиров в печени, способствуя их транспорту в кровь. 
Большое значение имеет достаточное содержание лецитина в диетах при атеросклерозе, болезнях печени, желчекаменной болезни. Суточная потребность - около 5 г.
Лецитином богаты: (2.5-3.5 г в 100 г съедобной части продуктов) яйца, печень, икра, мясо кролика, паста "Океан", сельдь жирная, нерафинированные растительные масла. Особенно много лицитна в яичном желтке.
В 100 г:
говядины, баранины, мясе кур, горохе, овсяной крупе- 0,8 г;
в большинстве рыб, сыре, сливочном масле, овсяной крупе - 0,4-0,6;
твороге жирном, сметане - 0,2 г.
При малой жирности хорошим источником лецитина является пахта.
Дипальмитиллецитин - очень эффективный поверхностно-активный агент, снижающий поверхностное натяжение и тем самым препятствующий слипанию внутренних поверхностей дыхательных путей в легких. Его отсутствие в легких недоношенных приводит к развитию синдрома дыхательной недостаточности. Большинство фосфолипидов содержит насыщенный ацильный радикал в положении С1 и насыщенный радикал в положении С2.
Рис. 3-Фосфатидилхолин

Липопротеиды

Липопротеины категоризируются по типу их размера и плотности, и несут ли они холестерин или триглицерид. Рисунок ниже иллюстрирует общее движение в организме холестерина и и липопротеинов, включая их транспорт в тонком кишечнике, печени и периферических тканях. 
Существует 4 типа липопротеинов, согласно их гравитационной плотности.
1. Хиломикроны - образуются из эмульгированных липидных остатков (включая длиноцепочечные триглицериды, фосфолипиды и свободные жирные кислоты), покидают кишечник и попадают в лимфатические сосуды. В норме, печень метаболизирует хиломикроны и отправляет их на хранение в жировую ткань. Хиломикроны также транспортируют жирорастворимые витамины А, D, E и К.
2. Липопротеины высокой плотности (ЛПВП). Производятся в печени и тонком кишечнике, они содержат наибольший процент белка (около 50%) и наименьшее количество жиров (около 20%) и холестерин (около 20%) из всех липопротеинов.
3. Липопротеины очень низкой плотности (ЛПОНП). Они распадаются в печени до липопротеинов низкой плотности (ЛПНП). ЛПОНП образуются в печени из жиров, углеводов, алкоголя и холестерина, и содержат наибольший процент липидов (95%), которые на 60% состоят из триглицеридов. Под действием липопротеин-липазы, молекула ЛПОНП, становится более плотной молекулой ЛПНП, и составляет от 60% до 80% общего сывороточного холестерина и имеет наибольшую аффинность к артериальным клеткам. ЛПНП доставляют холестерин в артериальную ткань, где частички ЛПНП: 
1) окисляются, чтобы изменить свои физико-химические свойства:
2) захватываются макрофагами внутри артериальной стенки, что запускает процесс формирования атеросклеротической бляшки.
Окисление ЛПНП обеспечивает пролиферацию гладко-мышечных клеток и другие неблагоприятные клеточные изменения, чтоп повреждают и сужают артерии.
ЛПВП против ЛПНП: перспектива здоровья. В отличие от ЛПНП, ЛПВП защищают серце от болезней. ЛПВП действуют, как мусорщики, в обратном транспорте холестерина, удаляя его из артериальной стенки и отправляя его в печень, для вовлечения в желчеобразование и последующую экскрецию через желудочно-кишечный тракт.
Регулярные умеренные или высокоинтенсивные аэробные нагрузки и отказ от курения сигарет, увеличивает количество ЛПВП и понижает ЛПНП, положительно влияет на отношение ЛПНП/ЛПВП.

Предшественники и производные липидов

Стероиды

Стероиды часто обнаруживаются в ассоциации с жирами. Все стероиды содержат однотипное циклическое ядро (кольца А, В и С), с которым соединено циклпентановое кольцо D.
Холестерин находится во всех клетках организма, особенно его много в нервной ткани. Он является одним из главных компонентов плазматической мембраны и липопротеинов плазмы; часто находится в форме эфиров жирных кислот и служит исходным соединением для синтеза всех стероидов, функционирующих в организме. Холестерин регулирует проницаемость мембран клеток, участвует в образовании желчных кислот, гормонов половых желез и коры надпочечников, витамина D и коже. ​
Холестерин содержится только в животных жирах. Холестерин, происходящий из пищевых источников называется экзогенным холестерином, а синтезируемый в клетках - эндогенным. Даже при безхолестериновой деиете, эндогенный холестерин синтезируется между 0.5 и 2 г. Больше эндогенного холестерина с диетой богатой насыщенными жирными кислотами и транс-жирными кислотами, будет способствовать образованию в печени ЛПНП. Печень синтезирует до 70% холестерина в организме, но ткани, включая стенки артерий и кишечника - также конструируют его его компоненты.​
В зерновых продуктах, орехах и особенно в растительных маслах содержится ситостерин, который уменьшает всасываение из кишечника.
Эргостерол содержится в растениях и дрожжах, он важен тем, что является предшественником витамина D. После облучения ультрафиолетом он приобретает противорахитное действие.
Полипреноидные соединения. Хотя не все являются стеролами, но близки к ним, по структуре. К ним относится убихинон - компонент дыхательный цепи митохондрий, и длинноцепочечный спирт долихол, принимающий участие в синтезе глипротеинов. Изопреноидные соединения растительного происхождения включают каучук, камфору, жирорастворимые витамины A, D, E и К и бета-каротин (провитамин А)

Функции холестерина

Холестерин участвует во многих функциях организма; включая строительство клеточных мембран и служит предсшественником витамина Д, горомонов надпочечников и половых гормонов эстрогена, андрогена и прогестерона.
Холестерин является основным компонентом желчи и играет критическую роль в формировании тканей, органов и структур организма во время развития плода.
Яичный желток является богатым источником холестерина (в среднем около 213 мг на яйцо), также как красное мясо и потроха (печень, почки и мозги). Морепродукты, особенно креветки и молочные продукты (мороженое, творог, масло и цельное молоко) содержат относительно большое количество холестерина. 
При варке мяса и рыбы теряется до 20% холестерина. Следует выделить связь холестерина пищи с атеросклерозом, причины которого сложны и многообразны. С пищей поступает в среднем 0.5 г холестерина в день, а в самом организме образуется 1.5-2 г, т.е. значительно больше. В основном холестерин образуется в печени из продуктов обмена жиров, углеводов, некоторых аминокислот. Главным источником образования холестерина в организме являются жиры, богатые насыщенными жирными кислотами. Резкое ограничение холестерина в рационе ведет к увеличению его образования в организме. Однако, в пожилом возрасте и при малоподвижном образе жизни, когда интенсивность обмена веществ снижается, при наличии атеросклероза, желчекаменной болезни и ряда других заболеваний избыточное поступление холестерина усугубляет нарушенный обмен веществ. Но и при этих состояниях достаточно ограничить количество холестерина в пище до 0,25-0,4 г в день, а не исключать его. Большое содержание в рационе пищевых веществ, нормализующих обмен жиров и холестерина, имеет не менее важное значение. К таким веществам относятся незаменимые жирные кислоты, многие витамины, лецитин, магний, йод и др. Во многих продуктах эти пищевые вещества благоприятно сбалансированы с холестерином: творог, яйца, морская рыба, морепродукты.
Поступающий из кишечника в составе хиломикронов холестерин в значительной степени задерживается в печени, где используется для построения мембран гепатоцитов и в синтезе желчных кислот. В составе желчи в результате реабсорбции в организм возвращается около 40% жиров. Не подвергшиеся обратному всасыванию в кишечнике холестерин и желчные кислоты - это основной путь выведения холестерина из организма.  В кровотоке липиды существуют в виде ранспортных форм: хиломикронов, липропротеинов очень нижкой плотности (ЛПОНП), липопротеидов низкой плотности (ЛПНП) и липопротеидов высокой плотности (ЛПВП). В энтероцитах образуются хиломикромикроны и ЛПОНП, в гепатоцитах - ЛПОНП и ЛПВП, в плазме крови - ЛПВП и ЛПНП.

Холестерин и коронарная болезнь сердца

Высокие уровни сывороточного холестерина и холестерина, богатого ЛПНП - мощный предиктор повышенного риска коронарной болезни сердца. Это становится практически необратимым при сочетании с другими факторами риска, такими, как курение, физическая неактивность, излижний вес и нелеченная гипертензия. Пациенты, с уже существующей коронарной болезнью сердца улучшают коронарный кровоток в течение 6 месяцев, путем агрессивного использования лекарств и диетотерапии, для понижения общего холестерина и ЛПНП. 
Пищевой излишек холестерина у "чувствительных" лиц существенно способствует развитию атеросклероза, дегенеративного процесса, при котором формируются богатые холестерином отложения (бляшки) на внутреннем слое средних и крупных артерий, вызывая их сужение и в конечном итоге закрытие.
Хиломикроны и ЛПОНП транспортируют преимущественно триглицериды, а ЛПНП и ЛПВП - холестерин. Холестерин-содержащие липопротеиды регулируют баланс холестерина в клетках: ЛПНП обеспечивают потребности, а ЛПВП предупреждают избыточное накопление.
Различают пять типов дислипопротиенемий:
I тип связан с нарушением лизиса хиломикронов
IIа тип - результат распада ЛПНП и снижения поступления холестерина в клетку.
III тип - характеризуется замедлением распада ЛОНП
IV тип - связан с усилением синтеза триглицеридов в печени в результате гиперинсулизма, механизма развития IIб и V типов не известен.
На состав триглицеридов и липопротеинов выраженное влияние оказыает состав пищи. Продукты животного происхождения, включающие преимущественно полиненасыщенные жирные кислоты и холестерин, имеют атерогенный эффект, влияют на содержание в крови ЛПВП и триглицеридов. Наоборот, ненасыщенные жирные кислоты (их источник растительные масла) и в особенности омега-3-жирные кислоты (содержащиеся в жире рыб) оказывают профилактическое действие.

Перекисное окисление липидов

Перекисное окисление (автоокисление) липидов при контакте с кислородом не только приводит в негодность пищевые продукты (прогоркание), но и вызывает повреждение тканей in vivo, способствуя развитию рака, воспалительных заболеваний, атеросклероза и старения. Повреждающее действие инициируется свободными радикалами, молекулы, которые имеют непарные валентности электронов, что делает их очень активными. Свободные радикалы содержат кислород (ROO•, RO•, OH•), и называются активными формами кислорода (АФК, ROS). Они образуются во время окисления жирных кислот, содеражщих метиленовые двойные связи, которые обычно находятся в полиненасыщенных жирных кислотах. 
Перекисное окисление липидов является цепной реакцией, провоцирующееся АФК, которые инициируют дальнешее распространение перекисного окисления и, таким образом, оно имеет разрушительные эффекты. Весь процесс может быть представлен следующим образом:
1. Инициация: образование R• из предшественника
2. Развитие реакции:
3. Прекращение:
Для контроля и снижения процесса перекисного окисления липидов и человек, и природа используют антиоксиданты. В пищевые продукты с этой целью добавляют пропилгаллат, бутилированный гидроксианизол и бутилированный гидрокситолуол. К природным антиоксидантнам относятся жирорастворимый витамин Е (токоферол), а также водорастворимые ураты и витамин С. Бета-каротин является антиоксидантом только при низких значениях РО2. Антиоксиданты распадаются на два класса:
1) превентивные антиоксиданты, которые снижают скорость инициации цепной реакции;
2) прерывающие цепную реакции (гасящие) антиоксиданты, которые вмешиваются в цепную реакцию.
К первым относятся каталаза и другие пероксидазы, такие как глутатионпероксидаза, которая реагирует с ROOH; селен, который является естественным компонентом глутатионпероксидазы и регулирует ее активность, и хелатные комплексы с металлами, такие как EDTA (этилендиаминтетраацетат) и DTPA (диэтилентриаминпентаацетат). In vivo, главными прервывающими цепь антиоксидантами являются супероксиддисмутаза, которая в водной фазе улавливает супероксидные свободные радикалы (O2 • ), а также мочевая кислота и витамин Е, который действует в липидной фазе улавливает ROO• радикалы.
Перекисное окисление in vivo катализируется гемовыми соединениями и липоксегеназами, обнаруживаемых в тромбоцитах и лейкоцитах. 
Другие продукты автоокисления или ферментативного окисления физиологического значения включают оксистерол (образуемый из холестерола) и изопростаны (образуемые из перекисного окисления полиненасыщенных жирных кислот, например арахидоновой кислоты).

Витамин Е (альфа-токоферол)

Существует несколько природных токоферолов. Альфа-токоферол наиболее широко распространен и имеет  наибольшую биологическую активность, как витамин.
Витамин Е выполняет, по крайней мере две метаболические функции. Во-первых, он служит наиболее действующим природным жирорастворимым антиоксидантом и, во-сторых, выполняет специфическую, хотя не до конца понятную, роль в метаболизме селена.
Витамин Е, по всей видимости, является первым эшелоном защиты клеточных и субклеточных мембранных фосфолипидов от перекисного окисления. Фосфолипиды митохондрий, э.п.р. и плазматических мембран обладают специфическим сродством к альфа-токоферолу, поэтому витамин концентрируется в составе этих мембран. 
Альфа-токоферол почти не вовлекается в процесс цепной реакции окислении, он образует продукт, не являющийся свободным радикалом.
Этот продукт образует конъюгат с глюкуроновой кислотой и экскретируется с желчью. Антиоксидантное действие токоферола сохраняется при высоких концентрациях кислорода, поэтому витамин Е накапливается в богатых липидами областях, контактирующих со средой, где поддерживается высокое парциальное давление кислорода - в мембранах эритроцитов и клеток дыхательных путей. 
Однако даже при наличии витамина Е происходит образование некоторого количества перекисей. Вторым эшелоном защиты мембран от разрушающего действия перекисей служит глуатионпероксидаза, в состав которой входит селен. Таким образом, действие витамина Е и селена состоит в предохранении клеточных и субклеточных комплексов от повреждения перекисями, обеспечивая целостность органелл и препятствуя тем самым развитию патологических состояний при действии физических, химических или других стрессорных факторов. 

Рекомендации по приему жиров

С учетом пола, возраста и характера труда, потребность в жирах представлена в таблицах ниже. 
В среднем суточная потребность составляет 80-100 г (34-38% от общей калорийности диеты), из которых 30% должны обеспечиваться растительными жирами. В настоящее время Американская Ассоциация Сердца рекомендует прием 20-35%, в зависимости от типа, потребляемых жиров.
Американское Общество Рака рекомендует снизить до 20% от калорийности прием жиров, для снижения риска рака прямой кишки, предстательной железы, эндометрия, и возможно, груди. 
Та или иная степень ограничения жиров (особенно тугоплавки, богатых насыщенных жирных кислотами) рекомендована при острых и обострении хронических заболеваний печени, желчевыводящих путей и кишечника, хроническом панкреатите, атеросклерозе и ишемической болезни сердца, ожирении, сахарном диабете, подагре, анемиях, гипотиреозе и некоторых других заболеваниях. 
Количество жиров увеличивают (в основном за счет молочных и растительных) в диетах при истощениях после тяжелых заболеваний, туберкулезе легких, гипертиреозе, холециститах с застоем желчи. В некоторых диетах содержание растительных жиров должно состоять до 50% от общего количества жира: липотропно-ижровая диета при хроническом холецистите с застоем желчи, варианты диет при атеросклерозе.

Роль жиров в организме

​Четыре важные функции выполняют жиры в организме:
1. Источник и хранилище энергии
2. Защита жизненно важных органов
3. Термическая изоляция
4. Переносчик витаминов и подавитель голода.​
Протекание процессов окисления и биосентеза в разных компартментах клетки, позволяет избирательно контролировать каждый процесс в соответствии с потребностями ткани. Каждый шаг окисления жирных кислот вовлекает ацетил-коА, утилизцию NAD+ и FAD , коэнзимы и деградацию АТФ. Это аэробный процесс, требующий присутствия кислорода.
Как и при метаболизме углеводов, ведущую роль в липидном обмене играет печень. Исключительно в печени локализованы такие процессы, как биосинтез холестерина, желчных кислот и фосфолипидов. В обмене других липидов ей присущи модифицирующие и регуляторные функции. В отличие от богатых запасов гликогена, печень практически не содержит собственных резервов триглицеридов (менее 1 %), однако занимает ключевую позицию в процессах мобилизации, потребления и синтеза жиров в других тканях. Такая ее роль основана на том, что практически все потоки обмена жиров проходят через печень: липиды пищи в виде хиломикронов поступают в нее через общий кровоток по печеночной артерии; свободные жирные кислоты, мобилизованные из жировых депо, переносятся в виде комплексов с альбумином; соли желчных кислот, реабсорбируясь в кишечнике, вновь поступают по воротной вене.
Энергетический потенциал липидов обеспечивает более половины основной энергетической потребности большинства тканей, что особенно выражено в условиях голода. При голодании или снижении утилизации глюкозы, триглицериды жировой ткани гидролизируются в жирные кислоты, которые в таких органах, как сердце, мышцы и печень подвергаются интенсивному β-окислению с образованием АТФ.
При незначительной физической нагрузке мышцы окисляют в основном углеводы, увеличение интенсивности и длительности работы требует преобладания катаболизма жиров, β-окисление в большинстве тканей стимулируется переносчиком липидов карнитином, но особенно весомое значение он имеет для мышечной ткани. Поскольку глюконеогенез зависит от окисления жирных кислот, нарушение последнего, вызванное различными причинами, приводят к гипогликемии; она возникает, в частности, при недостатке карнитина или снижении активности ферментов, участвующих в окислении жирных кислоты, например, каринитинпальмитоилтрансферазы, или ингибировании окисления жирных кислот ядами, например, гипоглицином.
Первостепенное значение биосинтеза жирных кислот заключается в трансформации избытка углеводов, поступающих в организм, и аккумулирование их энергии либо на непродолжительное время (между приемами пищи), либо на более длительное время. Жирные кислоты сохраняются в жировой ткане в составе триацилглицеролов (триглицеридов)

Источник энерегии и ее резерв

Структура жиров идеально в качестве источника энергии в клетке по трем причинам:
1. Они несут большое количество энергии на единицу веса;
2. Они легко транспортируются и откладываются;
3. Они обеспечивают готовый источник энергии.

Жиры обеспечивают от 80 до 90% энерегтических требований нормально питающегося лица в покое. 1 грамм жира содержит 9 ккал (38 кДж) энергии, более чем вдовое по сравнению с 1 граммом белков и углеводов. Жиры существуют, как относительно свободное от воды, концентрированное топливо, тогда как гликоген остается гидрированным и тяжелым, по отношению к его энерегетическому содержанию. 
Жир в форме триглицеридов хранится среди мышечных клеток в адипоцитах, и может составлять 10-15% среднего молодого мужчины или 20-25% женщины. Почти половина адипоцитов находится подкожно. Остальные резервы располагаются вокруг органов, обеспечивая поддержку и защиту. Так как жир в организме полностью заменяется в течение 3-4 недель, никто буквально не несет все еще "детский жир". Резервы из жировой ткани достаточно для 25-40 марафонских забегов. 

Три специфических энергетических ресурса для жирового катаболизма включают в себя:
1. Триглицериды, отложенные непосредство среди мышечных волокон, близко митохондриям;
2. Циркулирующие триглицериды в липопротеиновых комплексах, которые гидролизируются на поверхности эндотелия капилляров;
3. Циркулирующие свободные жирные кислоты, которые мобилизуются из триглицеридов жировой ткани.

Адипоциты: место хранения и мобилизации

Эстрификация триглицеридов и липолиз происходят в цитозоле липоцита. Жирные кислоты, высвобождаемые во время липоза (гидролиз), также могут реэстерифицироваться в триглицериды последующей их конверсией в жирную-ацил-КоА или выходить из адипоцита в кровоток, соединяться с белком плазмы альбумином для транспорта в ткани. Эти два процесса имеют полностью различные пути, с вовлечением различных реагентов и ферментов.
Многие метаболические, гормональные и связанные с питанием факторы, регулирующие процессы метаболизма в жировой ткани, оказывают действие либо на процессы эстерификации, либо на процессы липолиза. Баланс между этими двумя процессами определяет величину пула СЖК в жировой ткани, который в свою очередь определяет их уровень в циркулирующей плазме. Последние оказывают наиболее значимые эффекты на метаболизм других тканей, особенно печень и мышцы, факторы, влияющие на жировую ткань, регулируют и выход СЖК, оказывают влияние на процессы далеко за пределы самой ткани.

Производство глицерол-3-фосфата регулирует эстерификацию: липолиз контролируется гормон-чувствительной липазой.

Триацилглицеролы синтезируются в жировой ткани из ацил-СоА и глицерол-3-фосфата. Из-за отсутствия экспрессии глицерол-киназы в жировой ткани, глицерол не может использоваться для формирования глицерол-3-фосфата, последний образуется из глюкозы, поступающей в жировую в ткань с кровью, в процессе гликолиза.
Липолиз может также происходит и в других тканях, кроме жировой. Гидролиз пищевого триглицерида происходит в тонком кишечнике под влиянием панкреатической липазы; липопротеинлипаза, фермент, локализованный в стенках капилляров, катализирует гидролиз триглицеридов, переносимых липопротеидами крови. Мышечные клетки также "захватывают" жирные кислоты, высвобожденные липопротеинлипазой. ЛПЛ - также обеспечивает клеточный захват жирных кислот для энергетического метаболизма и ресинтеза (реэстерификации) триглицеридов, хранящихся внутри мышц и жировой ткани.
Распад триглицеридров на глицерол и жирные кислоты катализируется ферментом гормон-чувствительная липаза. Так как жировая ткань не способна утилизировать глицерол, он выходит в кровоток, откуда он поступает в такие ткани, как печень и почки, в которых подвергается воздействию глицерол-киназы. СЖК, образованные в процессе липолиза, превращаются в  жировой ткани в ацил-СоА под действием ацил-СоА-синтетазы, а затем вновь эстерифицируются до глицерол-3-фосфатом с образованием триацилглицеролов. Т.о. в жировой ткани осуществляется непрерывный цикл, включающий липолиз и эстерификацию. Однако, если скорость липолиза превышает скорость эстерификации, в жировой ткани накапливаются СЖК, которые затем диффундируют из адипоцита в кровоток, где связываются с альбумином для транспортировки к активным тканям. В мышечной ткане из комплекса альбумин-СЖК высвобождаются СЖК для транспоритровки путем диффузии и/или протеиновыми протонными переносчиками через плазматическую мембрану. Внутри мышечного волокна СЖК выполняют две работы:
1) реэстерификация в форму триглицеридов;
2) связываются со внутримышечными белками и заходит в митохондрии для энергетического метаболизма под действием карнитин-ацилтрансферазы, локализованной на внутренней поверхности мембраны митохондрии. Этот фермент катализирует перенос ацильной группы карнитину с формированием ацил-карнитина, соединения, которое готово к пересечению метохондриальной мембраны. Средне- и короткоцепочечные жирные кислоты не зависят от этого ферментативно-стимулируемого транспорта, и свободно диффундируют в митохондрию. В матриксе митохондрий происходит процесс бета-окисления СЖК.
Глицерол может заходить в гликолиз в цитоплазме (как 3-фосфоглицерат, продукт в шаге 7 цикла Кребса), но это не типичная утилизация жиров мышечных клетках.
Водорастворимый глицерол образуемый во время липолиза диффундирует из адипоцита в кровоток. Это позволяет оценивать по плазматическому уровню глицерола катаболизм триглицеридов. Когда глицерол доставляется в печень, то здесь он служит предшественником глюкозы. Относительно медленность протекания этотого процесса объясняет, почему пищевые добавки с глицеролом (потребляемые в жидкой форме), не сильно обеспечивают энергией (или глюкозный наполнитель) во время упражнений.
Высвобождение жировой тканью СЖК и их последующее использование для энерегии в легкой и умеренной физической нагрузке, происходит через кровоток и с доставкой в активные мышцы. Катаболизм СЖК увеличивается главным образом в медленно-сокращаюхся мышечных волокнах, у которых достаточное кровоснабжение и большое число митохондрий, что делает их идеальным местом для распада.
Рисунок отражает динамику мобилизацию жирных кислот (липолиз) в жировой ткани и доставление в скелетную мускулатуру.

Увеличение скорости метаболизма глюкозы снижает выход СЖК

Когда потребление глюкозы жировой тканью увеличивается, выход СЖК из нее уменьшается, однако, выход глицерола продолжается, показывая, что эффект глюкозы не влияет на снижение скорости липолиза. Глюкоза обеспечивает производство глицерол-3-фосфата, который ускоряет эстерификацию СЖК. 
Глюкоза может протекать по двум путям метаболизма: окисление до СО2 в цикле лимонной кислоты; окисление в пентозо-фосфатном пути; превращение в длинноцепочечные жирные кислоты и образование ацилглицеролов через глицерол-3-фосфаты.
Когда поступление глюкозы высокое, большая ее часть захватывется и окисляется до СО2 и конвертируется в жирные кислоты. А когда общее потребление глюкозы снижается, большая часть глюкозы перенаправляется на образование глицерол-3-фосфата, а затем ацил-СоА, который позволяет минимизировать отток СЖК.

Роль гормонов в мобилизации жиров

Исследования последних 20 лет показали, что жировая ткань секретирует такие гормоны, как лептин и адипонектин, известные как адипокины. Их роль на эндокринные органы была распознана. Лептин регулирует энергетический гомеостаз стимулируя использование энергии и лимитируя прием пищи. Если его недостает, то прием пищи становится некотролириуемый, вызывая ожирение. Адипонектин модулирует метаболизм глюкозы и липидов в мышцах и печени, повышая чувствительность тканей к инсулину.
Эпинферин, норэпинефрин, глюкагон и гормон роста увеличивают активацию липазы и последующий липолиз и мобилизацию СЖК из жировой ткани. Плазматическая концентрация липогенетических гормонов увеличивается во время упражнений и постоянно снабжает активные мышцы энергетически богатым субстратом. Внутриклеточный медиатор аденозин-3,5-циклический монофорсфат (цАМФ), активирует гормон-чувствительнуюю липазу и таким образом регулирует распад жиров. Различные липид-мобилизирующие гормоны, которые сами по себе не входят в клетки, активируют цАМФ. Физические упражнения увеличивают уровень аткивности скелетных мышц и липазы жировой ткани, включая биохимическую и сосудистую адаптацию мышц, усиливая использование жиров во время умеренных упражнений.
Парадоксально, но излишний жир тела снижает доступность жирных кислот во время упражнений.
Доступность молекул СЖК регулирует разрушение и синтез жиров. После еды, когда энерегетический метаболизм остается относитльно низкий, в процессе пищеварения увеличивается доставка СЖК и триглицеридов в клетки; это, в свою очередь стимулирует синтез триглицеридов в клетке. И наоборот, умеренная нагрузка увеличивает использование жирных кислоты для энерегии, что приводит к снижению ее концентрации в клетке. Снижение внутриклеточных СЖК стимулирует распад триглицеридов до глицерола и компонентов свободных жирных кислот. Одновременно, высвобождение горомонов, запускаемое физической нагрузкой, стимулирует тканевой липолиз и дальнейшее увеличение СЖК в работающие мышцы.

Липолиз жировой ткани ингибируется инсулином

Инсулин ингибирует выход СЖК из жировой ткани, в результате чего уменьшается их концентрация в плазме. Он также усиливает процесс липогенеза и биосинтез ацилглицеролов и увеличивает окисление глюкозы до СО2 через пентозо-фосфатный путь. 
Все эти эффекты зависят от присутствия глюкозы и могут быть объяснены  способностью увеличивать захвать глюкозы жировой тканью через GLUT4-транспортер. В дополнение, инсулин увеличивает активность ферментов пируват-дегидрогеназы, ацетил-СоА-карбоксилазы и глицерол-фосфат-ацилтрансферазы; на фоне увеличения поступления глюкозы в клетки жировой ткани эти ферменты способствуют усилению синтеза жирных кислот и ацилглицеролов. 
Другое принципиальное действие инсулина в жировой ткани состоит в ингибировании активности гормон-чувствительной липазы, в результате чего уменьшается высвобождение не только свободных жирных кислоты, но и глицерола. Жировая ткань наиболее чувствительна к действию инсулина, в сравнении с другими тканями, что указывает, что она является основным местом действия инсулина in vivo.

Гормоны, стимулирующие липолиз

Ряд других гормонов ускоряет высвобождение СЖК из жировой ткани и повышает их концентрацию в плазме путем увеличения скорости липолиза триацилглицеролов. К таким гормонам относятся адреналин, норадреналин, глюкагон, адренокортикотропный гормон (АКТГ), альфа- и бета-меланоцитстимулирующий гормон (МСГ), тиреотропный гормон (ТТГ), гормон роста (ГР) и вазопрессин. Многие из этих гормонов являются активаторами гормон-чувствительной липазы. 
Для оптимального протекания большинства липолитических процессов необходимо присутствие глюкокортикоидов и гормонов щитовидной железы. Сами по себе эти гормоны не оказывают прямого влияния на липолиз, а действуют как факторы, стимулирующие действие других гормонов. 
Липолиз регулируется в основном количеством цАМФ, присутствующим в тканях. Следовательно процесессы, вызывающие разрушение цАМФ или приводящие к его образованию, оказыавют также действие на липолиз. цАМФ гидролизируется до 5-АМФ при участи цикло-3,5-нуклеотидфосфодиэстеразы. Этот фермент ингибурется метилксантинами, такими, как кофеин и теофиллин. Поэтому потребление кофе, содержащего кофеин, вызывает существенное повышение уровня СЖК в плазме крови человека.
Инсулин действует, как антагонист гормонов, стимулирующих липолиз.
Симпатическая нервная система путем высвобождения норадреналина в жировой ткани играет центральную роль в мобилизации свободных жирных кислот. 

Перилипин реглирует баланс между накоплением триацилглицерола и липолизом в адипоцитах

Перилипин - это белок, вовлеченный в образование липидных остатков в адипоцитах, ингибирует липолиз в базальных состояниях, предотвращая доступ липазных ферментов в хранилище триацилглицеролов. На стимуляцию гормонов, стимулирующих деградацию триацилглицеролов, однако, белок становится фосфорилированным и изменяет свою конформацию, и подставляя липидные остатки для гормон-чувствительной липазы, и таким образом обеспечивает липолиз. Перилипин, таким образом, способствует накоплению и распаду триацилглицеролов согласно метаболическим потребностям организма.

Роль бурой жировой ткани в тремогенезе

Бурая жировая ткань становится зоной активного метаболизма в первую очередь в тех сулчаях, когда организму необходимо генерировать тепло. Эта ткань характеризуется высоким уровнем метаболизма при пробуждении от зимней спячки, при охлождении (термогенез без озноба), а также новрожденных животных. У человека эта ткань не играет важную роль, и в норме имеется и у человека, и может быть ответственная за "термогенез, вызванный приемом пищи", это позволяет объяснить, почему некоторые люди не толстеют, хотя употребляют много пищи, а у людей, страдающие ожирением, бурая жировая ткань отсутствует или не выражена. 
Бурая жировая ткань хорошо снабжается кровью, в ее клатеках содержание митохондрий и цирохромов, а активность АТФ-синтетазы очень низкая. Бурая жировая ткань эффективно окисляет как глюкозу, таки и жирные кислоты.
Норадреналин, высвобождаемый из нервных окончаний, стимулирует липолиз в бурой жировой ткани и повышает синтез липопротеинлипазы для усиления утилизации богатых триацилглиролом липопротеинов из циркуляции. При окислении образуется много тепла и лишь незначительная часть свободной энерегии запасается в виде АТФ. Термогенный несвязанный белок термогенин действует как протон-переносящий путь, рассеивающий элетрохимический потенциал через митохондриальную мембрану.

Метаболизм жиров

Метаболизм жиров включает 7 отдельных процессов:
1. Распад триглицеридов на свободные жирные кислоты;
2. Транспорт свободных жирных кислоты в кровоток;
3. Захват свободных жирных кислоты из крови мышцами;
4. Подготовка жирных кислоты для катаболизма (энергетическая активация);
5. Вход активированных жирных кислот в мышечную митохондрию;
6. Распад свободных жирных кисоты до ацетил-КоА через бета-окисление и продукция NADH и NADH2;
7. Куплет окисления в цикле лимонной кислоты и электрон-транспортной цепи.

Распад триглицередов

Термином гидролиз (более специфично липолиз, когда касается липидов) описывает катаболизм триглицеридов с высвобождением глицерина и энергетически богатых молекул жирных кислот.
На рисунке показан распад триглицеридов, при котором добавляется вода в три отдельные гидролитические реакции, каждая из которых катализируется гормон-чувствительной липазой.
Мобилизация жирных кислот через липолиз преобладает при 4 состояниях:
  1. Низко-умеренной интенсивности физической нагрузке;
  2. Низкокалорийная диета или голодание.
  3. Холодовой стресс.
  4. Длительные упражнения, при которых истощаются резервы гликогена.

Полный катаболизм глицерола и жирных кислот

Глицерол

Анаэробная реакция гликолиза принимает глицерол, как 3-фосфоглицролальдегид. Эта молекула затем распадается до пирувата для формирования АТФ на сустрат-уровневом фосфорилировании. Атомы водорода переходят на NAD+ и в цикле Кребса пируват окисляется. Полный распад одной молекулы глицерола дает 19 молекул АТФ. Глицерол также обеспечивает углеродный скелет для синтеза глюкозы. 
Глюконеогенезная роль глицерола становится важной, когда резервы гликогена снижаются.

Свободные жирные кислоты

Свободные жирные кислоты, называемые также неэстерифицированные жирные кислоты НЭЖК (UFA, NEFA) - находятся не в эстерефицированном состоянии. В плазме, длинные цепи СЖК связаны с альбумином, а в клетке они прикреплены к белку-связывающему-жирные-кислоты, и поэтому, они никогда не бываются "свободными". Короткие, более водорастворимы, и существуют в неионизированном состоянии или в форме аниона жирной кислоты.
Также, как и в случае метаболизма глюкозы, жирная кислота прежде всегда должна превратиться в активное производное в результате реакции, протекающей с участием АТФ, и только после этого она может взаимодействовать с ферментами, катализирующими дальнейшее превращение. В процессе превращения жирных кислот эта стадия является единственной, требующей энергии в виде АТФ. 
В присутствии АТФ и кофермента А фермент ацил-СоА-синтетаза (тиокиназа) катализирует превращение СЖК в "активную жирную кислоту" или ацил-СоА, которое осуществляется за счет расщепления одной богатой энерегией фосфатной связи с образованием АМР и РРi. РРi гидролизируется неорганической пирофосфатазой с потерей одного богатого энерегией фосфата, обеспечивая полноту протекания реакции. 
Таким образом, для активации одной молекулы жирной кислоты расходуется две богатые энерегией фосфатные связи. 
Ацил-СоА-синтетазы находятся в эндоплазматическом ретикулуме, а также внутри митохондрий и на их наружной мембране.

Роль карнитина в окислении жирных кислот
Каринитин является широко распространенным соединением, особенно много его в мышцах. Он образуется из лизина и метионина в печени и почках. Активация низших жирных кислот и окисление могут происходить в митохондриях независимо от карнитина, однако длинноцепочечные ацил-СоА (или СЖК) не могут проникать в митохондрии и окисляться, если предварительно не образуют ацилкарнитин-производных. На наружной стороне наружной мембраны митохондрий имеется фермент карнитин-пальмитоилтрансфераза I, который переносит длинноцепочечные ацильные группы на карнитин с образованием ацилкарнитина; последний способен проникать в митохондрии, где находятся ферменты, катализирующие процесс бета-окисления. 
Возможный механизм, объясняющий участие карнитина в окислении жирных кислот в митохондриях приведен на рисунке ниже. 
Ацилкарнитин способен проникать через внутреннюю мембрану и получать доступ к ферментам бета-окислительной системы, через транспортер внутренней мембраны карнитин-ацилкарнитин-транслоказа. Транспортер связывает ацилкартинитин и переносит его через мембрану в обмен на карнитин. Ацильная группа затем передается СоА, и таким образом ацил-СоА формируется заново, а карнитин высвобождается. Эта реакция катализируется карнитин-палмитоил-трансферазой II, локализованной на внутренней мембране митохондрий.
Рисунок суммирует пути деградации молекулы триглицерида до глицерола и фрагментов жирных кислот. Полный распад одной молекулы глицерола синтезирует 19 молекул АТФ. Глицерол также предоставляет молекулы углерода для синтеза глюкозы. Распад жирных кислоты происходят непосредственно для поглощения кислорода. Кислород должен присоединиться к водороду для бета-окислению. При анаэробном состоянии, водород остает с NAD+ и FAD, что останавливает жировой катаболизм. Распад жирной кислоты происходит так:
1. Бета-окисление производит NADH и FADH2, путем расщепления молекулы жирной кислоты до 2-углеродного ацетиловых фрагментов.
2. Цикл лимонной кислоты разделяет ацетил-КоА до диоксида углерода и атомов водорода
3. Атомы водорода окисляются в  электоронтраспортной цепи окислительным фосфорилированием.
На кажду 18-углеродную жирную кислоту фосфорилируется 147 молекул АДФ до АТФ во время бета-окисления и метаболизма в цикле Кребса. Каждый триглицерид содержит 3 жирные кислоты (3 х 147) = 441 АТФ. Итак 19 АТФ из молекулы глицерола + 441 молекула из жирных кислот, дают 460 молекул АТФ из каждой молекулы триглицерида.

Бета-окисление

Бета-окисление - это серия циклических шагов, в которых отрываются последовательные пары атомов углерода от СЖК, которые затем используются для формирования ацил-СоА.
При бета-окислении жирных кислот 2 атома углерода одновременно отщепляются от карбоксильного конца молекулы ацил-СоА. Углеродная цель разрывается между атомами углерода в положении альфа (2) и бета (3), откуда и пошло название бета-окисление. Обрузающиеся двухуглеродные фрагменты представляют собой ацил-СоА. Так в случае пальмитоил-СоА образуется 8 молекул ацетил-СоА.
Число циклов зависит от числа атомов углерода, в большинстве жирных кислот 14-24 углерода.
При адекватном снабжении оксалоацетатом, ацетил-Со-А, жирового происхождения, вступает в цикл Кребса и проходит через электронный транспорт и окислительное фосфорилирование.

Цикл бета-окисления образует FADH2 и NADH

Ряд ферментов, изветсных под общим названием "оксидазы жирных кислот", находятся в митохондриальном матриксе в непосредственной близости отдыхательной цепи, локализованной во внутренней мембране митохондрий. Эта ситема катализирует окисление ацил-СоА до ацетил-СоА. Во время этого процесса, большое количество восстановленных эквивалентов FADH2 и NADH генерируется и используется для образования АТФ в окислительном фосфорилировании. 
Бета-окисление жирных кислот. Длинноцепочечный ацил-СоА последовательно укорачивается, проходя цикл за циклом ферментативные реакции 2-5; в результате каждого цикла происходит отщепление ацетил-СоА, катализируемое тиолазой (реакция 5). Когда остается четырехуглеродный ацильный радикал, то из него в результате реакции 5 образуются две молекулы ацетил-СоА.
После проникновения ацильного фрагмента через мембрану митохондрий, при участии карнитиновой транспортной системой и переноса ацильной группы от карнитина на СоА, происходит отщепление двух атомов водорода от углеродных атомов в положении 2(альфа) и 3 (бета), катализируемое ацил-СоА-дегидрогеназой в присутствии FAD. В результате образуется Δ2-транс-еноил-СоА и FADH2. Реокисление FADH2 в респираторной цепи требует участия другого фермента из группы флавопротеинов, называемого электронпереносящим флавопротеином
Добавление воды приводит к насыщению двойной связи и образованию 3-гидроксиацил-СоА. Эта реакция катализируется ферментом Δ2-еноил-СоА-гидратазой
3-гидрокси деривата подвергаются дальнейшей дегидратации на 3-м атоме углерода, катализируется L(+)-3-гидроксиацил-СоА-дегидрогеназой с образованием 3-кетоацил-СоА частицы. В этом случае, вовлечен коэнзим NAD+.
Наконец, 3-кетоацил-СоА расщепляется во 2,3-положении ферментом тиолазой (3-кетоацил-СоА-тиолаза) с образованием ацетил-СоА и новый ацил-СоА на два углерода короче, чем исходная молекула ацил-СоА.
Более короткая ацил-СоА, образовавшаяся в реакции отщепления вновь вступает в окислительный путь, начиная с реакции 2.
Т.о., длинноцепочечные жирные кислоты могут полностью расщепляться до ацетил-СоА (С2-фрагментов); последние в цикле лимонной кислоты, который протекает в митохондриях, окисляются до СО2 и Н2О.
Жирные кислоты с нечетным числом атомов углерода заканчиваюются на стадии образовании трехуглеродного фрагмента - пропионил-СоА, который затем превращается в сукцинил-СоА, который является интемедиатом цикла лимонной кислоты.
Т.о. пропионил остаток от нечетной жирной кислоты является единственной частью жирной кислоты, которая попадает в гликогенез.

Энергетика процесса окисления жирных кислот

1. Транспорт электронов от FADH2 и NADH через респираторную цепь приводит к синтезу 4 высокоэнергетических фосфатных связей, на каждый из 7 семи циклов для разрушения пальмитата (пальмитиновой кислоты) -  С16 жирной кислоты до ацетил-СоА через бета-окисление n/2-1=16/2-1=7.
2. Каждый цикл производит 1 FADH2 и 1NADH+H+
Эта реакция происходит 7 раз: 7х4=28 АТФ
3. Каждый цикл (7) плюс последний шаг (1) производят ацетил-СоА, итого 8.
Каждый ацитил-СоА в циклер Кребса производит 1 АТФ, 3NAD+H+ и 1FADH2.
3NADH+H+ произведет 7,5АТФ, 1FADH2 произведет 1,5АТФ в электронтранспортной системе.
Таким образом, 10АТФ произведется на каждую ацетил-СоА, а для всех 8 ацетил-СоА х 10 = 80 АТФ.
4. Добавляя результаты 2 и 3 шагов получаем: 80 АТФ + 28 АТФ = 108 АТФ.
5. 1 АТФ утилизируется в шаге 1 в бета-окислении для активации жирной кислоты. Более того, этот АТФ был разбит до АМФ, а не АДФ; это эквивалентно использованию 2 АТФ.
6. Субстратное использование АТФ, вычитаемое из общего произведенного, даст 108 АТФ - 2 АТФ = 106 АТФ из пальмитата. Или 106 х 30.5 = 3233 кДж. Это является 33% свободной энергии от сжигаемой пальмитатовой кислоты.
Как и в гликолизе, АТФ используется для активации, но здесь напрямую АТФ не производится в субстратном фосфорилировании.
Шаги бета-окисления
Шаг 1: Молекула жирной кислоты активируется распадом на 1 АТФ до АМФ, высвобождая энергию, эквивалентную 2 АТФ, если распадается до АДФ. Для реакции необходимо участие коэнзима-А.
Шаг 2: FAD редуцируется до FADH2. FADH2 входит в электронтранспортную цепь (ЭТЦ) и продуцируется 1.5 АТФ.
Шаг 3: Добавляется молекула воды и NAD+ редуцируется до NADH+H+, последняя входит ЭТЦ и продуцирует 2.5 АТФ.
Шаги 2 и 3, с удалением атомов водорода для окисления далее, что и обусловливают название этому процессу.
Шаг 4: Связь между альфа углеродом (С2) и бета углеродом (С3) разрушена, что приводит к их удалению (С1 и С2), которые потом используются в форме ацетил-коэнизма-А. Расщепление углеродов на бета-углероде, объясняет, почему это окисление называется бета-окислением.
Шаг 5: Шаги 1-4 повторяются для каждой пары углеродов, кроме последней, так как последняя сама по себе формирует ацетил-коэнзим-А.
Таким образом число циклов n/2-1, где n - число углеродов. Ацетил-коэнзим-А входит в цикл Кребса и ЭТЦ. (смотри обмен углеводов), что на 16-углеродную жирную кислоту даст 106 атомов АТФ.

Окисление жирных кислоты в пероксисомах

Мотифицированная форма бета-окисления обнаружена в пероксисомах и приводит к образования ацетил-СоА и H2O2, последняя образуется на стадии, катализируемой флавопротеином дегидрогеназой.  Этот путь окисления непосредственно не сопряжен с фосфорилированием и образованием АТФ, но он обеспечивает расщепление жирных кислот с очень длинной цепью (например С20, С22). Этот путь включается при диете, богатой жирами, или приеме некоторых гиполипидемических лекарственных препаратов, таких как клофибрат.
Ферменты пероксисом не атакают более короткоцепочечные жирные кислоты; бета-окисление останавливается на октаноил-СоА. Октаноильные и ацетильные группы удаляются затем из пероксисом в виде октаноилкарнитина и ацетилкарнитина и окисляются в митохондриях.
Другая роль пероксисомального бета-окисления - это укорочение боковой цепи холестерина при образовании желчи. Пероксисомы также принимают участие в синтезе  глицеролипидов, холестерина и долихол.

Окисление ненасыщенных жирных кислот происходит в модифицированном бета-окислительном пути

СоА-производные ненасыщенных жирных кислот атакаются ферментами, катализирующими бета-окисление до стадии, на которой в зависимости от локализации двойных связей дельта-3-цис-ацил-СоА или дельта-4-цис-ацил-СоА-производное, которые распадаются до дельта-2-еноил-СоА, являющийяся промежуточным соединением при бета-окислении. 

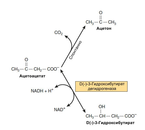
Кетоновые тела и кетоз

Кетоз  развивается при высокой скорости окисления жирных кислот в печени, особенно в тех случаях, когда оно происходит на фоне недостатка углеводов, с образованием кетоновых тел.
Существует 3 формы кетоновых тел:
- ацетоацетиновая кислота
- бета-гидроксибутириновая кислота
- ацетон.
Все сильные кислоты. Ацетон придает дыханию очень характерный фруктовый запах.
Подобное состояние возникает при приеме пищи, богатой жирами, голодании, сахарном диабете, длительных физических нагрузках. 
Ацетоацетат и 3-гидроксибутират конвертируются в митохондриях ферментом 3-гидробутират-дегидрогеназой; равновесие контролируется митохондриальным отношением [NAD+]/[NADH], которое называется окислительно-восстановительное состояние.
Концентрация общего количества кетоновых тел в кровотоке у хорошо питающихся млекопитающих в норме не превышает 0,2 ммоль/л, кроме жвачных животных, у которых 3-гидроксибутират  постоянно формируется в желудке из масляной кислоты.
Внепеченочные ткани используют ацетоацетат и бета-гидроксибутират, как респираторные субстраты. Ацетоны - это бесполезный продукт, который летуч и может быть выделяться легкими.
Так как в печени происходит активный синтез и малая утилизация кетоновых тел, они используются, а не производятся внепеченочными тканями.

3-Гидрокси-3-Метилглутарил-СоА (ГМГ-СоА, HMG-CoA) - участвует в пути образования кетоновых тел

Ферменты, отвественные за образование кетоновых тел расположены в основном в митохондриях. Две молекулы ацетил-СоА, образованные в бета-окислении, конденсируются с образованием ацетоацетил-СоА в обратимой тиолазной реакции. Ацетоацетил-СоА, является стартовым материалом для кетогенезиса, и также образуется из 4-х последних углеродов жирной кислоты в бета-окислении. Конденсация ацетоацетил-СоА с другой молекулой ацетил-СоА происходит при участии 3-гидрокси-3-метилглутарил-СоА-синтетазы, с образованием 3-гидрокси-3-метилглутарил-СоА (HMG-CoA). 3-Гидрокси-3-метилглутарил-СоА-лиаза вызывает затем отщепление HMG-CoA, оставляя свободный ацетоацетат. 
Молекулы углерода, отделенные от молекулы ацетил-СоА, получены из исходной молекулы ацетоацетил-СоА. Обе молекулы должны присутствовать в митохондриях для кетогенеза. Этот процесс происходит медленно в печени. D(-)-3-Гидроксибутират количественно предоминантное кетоновое тело, присутствующее в крови и мочи в кетозе. 

Кетоновые тела служат топливом для внепеченочных тканей

Пока активный ферментативный процесс образует ацетоацетат из ацетоацетил-СоА в печени, ацетоацетат образованный  не может быть реактивирован нигде, кроме цитозоля в менее активном пути, где он выступает предшественником в синтезе холестерола. Это оставляет общее числов кетонов, образованных в печени. 
Во внепеченочных тканях, ацетоацетат активируется до ацетил-СоА ферментом сукцинил-СоА-ацетоацетат СоА трансферазой. СоА превращается из сукцинил-СоА и образует ацетоацетил-СоА.
С дополнением СоА, ацетоацетил-СоА расщепляется на два ацетил-СоА ферментом тиолаза и окисляется в цикле Кребса. Если кровяное давление растет, то окисление кетовых тел увеличивается, и при достижении  концетрации приблизительно 12 ммоль/л, окислительный механизм насыщается. Когда это происходит, большая часть поглощенного кислорода может быть задействована в окислении кетоновых тел.
В большинстве случаев кетонемия происходит из-за повышенной продукции кетоновых тел в печени, а не в результате дефицита их утилизации экстрапеченочными тканями. Когда ацетоацетат и D(-)-3-гидроксибутират готовы окисляться во внепеченочных тканях, ацетону сложно окисляться in vivo и большая часть улетучивается легкими.
Кетоны сами по себе могут использоваться, как топливо мышцах, нервной ткани и мозгах. Если кетоны не используются, а накапливаются, то наступает состояние, которые называется кетоз. Во время упражнений, аэробно-тренированные лица могут утилизировать кетоны более эффективно, чем нетренированные.
При умеренной кетонемии, потеря кетонных тел с мочой составляет всего несколько процентов, при сравнении общей продукции и утилизации кетонов. Так как почечный эффект порога (не истинный порог) сильно различается среди видов и лиц, измерение кетонемия, а не кетонурии - предпочтительный метод оценки тяжести кетоза.
В условиях ускоренного катаболизма жирных кислот и/или снижения утилизации углеводов синтез кетонов может превысить возможности их окисления внепеченочными органами и привести к развитию метаболического кетоацидоза. Длительное пребывание в состоянии кетоацидоза, как, например, при сахарном диабете, может привести к летальному исходу. Ингибирующее влияние на кетоногенез оказывают углеводы рациона.

Кетоногенез регулируется тремя ключевыми шагами.

1. Кетоз не происходит in vivo, пока не происходит увеличение уровня циркулирующих СЖК, который поднимается из липолиза триглицеридов в жировой ткане. СЖК являются предшественниками кетоновых тел в печени. В печени, как из пищи так и при состоянии голодания, отбирается до 30% СЖК, проходящих через нее, поэтому высокие концетрации их потока печени закономеры. Таким образом, факторы, регулирующие мобилизацию СЖК из жировой ткани являются важными в контроле кетогенезиса.
2. После захвата печенью, СЖК или окисляются в бета-окислении до СО2 или кетоновых тел или эстерифицируются до триглицеридов или фосфолипидов. Существует регуляцию входа жирных кислот в окислительны путь через карнитин-палмитоилтрансферазу I (СPT-I, КПТ-1), а оставшиеся захваченные жирные кислоты эстерефицируются. Активность СРТ-I низкая в насыщенном состоянии, что приводится к подавлению окисления жирных кислот, а при высоком уровне голодания, допущение для окисления увеличивается.
Малонил-СоА начальный промежуточный продукт биосинтеза жирных кислот, образуемый ацетил-СоА-карбоксилазой в сытом состоянии, является потенциальным ингибитором СРТ-I.
При таких состояниях, СЖК попадают в печень в низкой концентрации и практически все эстерифицируются до ацилглицерола и транспортируются из печени с липопротеинами очень низкой плотности (ЛПОНП). Однако, когда концетрация СЖК увеличивается, например, при голоде, ацетил-СоА-карбоксилаза подавляется напрямую ацил-СоА, и (малонил-СоА) снижается, высвобождая от подавления СРТ-I и позволяя больше ацил-СоА проходить через бета-окисление. Эти события усиливаются при длительном голоде сниженным инсулин/гликагон отношением. Таким образом, бета-окисление СЖК контролируется СРТ-I в митохондриях, и остаток захваченных неокисленных СЖК эстерификацируется. 
3. Далее, ацетил-СоА образованный в бета-окислении окисляется к цикле лимонной кислоты или входит путь кетогенеза и образует кетоновые тела. Так как уровень СЖК растет, пропорционально больше СЖК конвертируется в кетоновые тела и меньше окисляется в цикле Кребса до СО2. Разделение ацетил-СоА между кетогенным путем и путем окисления до СО2 регулируется так, чтобы общая энерегия полученного АТФ из окисления СЖК оставалась постоянной, при изменении их коцентраций в сыворотке. Это может быть оценено, когда реализуется полное окисление 1 мол молекулы пальмитата и произведено 106 моль АТФ и СО2 через бета-окисление в цикле Кребса, тогда как только 26 моль АТФ вырабатывается, когда конечный продукт ацетоацетат и только 21 моль, когда 3-гидроксибутират. Таким образом, кетогенез может рассматриваться, как механизм, который позволяет печени окислать повышенное количество жирных кислот, в условиях ограничения тесно связанной системы окислительного фосфорилирования. 

Как упоминалось ранее, для того, чтобы ацетил-СоА продуцировал бета-окисление и вошел в Цикл Кребса, требуется значительно число оксалоацетата. Когда углеводов поступает достаточно, то с этим нет проблем, и жир, как говорится, горит в пламени углеводов. 
Падение концетрации оксалоацетата, особенно внутри митохондрий, нарушает способность цикла Кребса метаболизировать ацетил-СоА и переключает окисление свободных жирных кислот в направление кетогенеза. Такое падение падение может быть связано с отношением (NADH)/(NAD+), вызванным повышенным бета-окислением жирных кислот, и влияющим на равновесие между оксалоацетатом и малатом, ведя к снижению концентрации оксалоацетата, и когда происходит усиленный глюконеогенез, что имеет место при низком уровне глюкозе. Оксалоацетат конвертируется до глюкозы. Производство глюкозы из углеводного источника необходимо, так как некоторые ткани, такие как мозговая и нервная система, почти полностью используют глюкозу для энерегии. Активация пируваткарбоксилазы, которая катализирует конверсию пирувата до оксалоацетата ацетилкоэнзимомА частично облегчает эту проблему, но при таких состояниях, как голод и нелеченный сахарный диабет, происходит перепроизводтся кетоновых тел, вызывая кетоз.

Клинические аспекты

Нарушение окисления жирных кислот вызывает заболевания ассоциированные с гипоглицемией

Дефицит карнитина имеет место в основном у новорожденных - и особенно у недоношенных - имеющих неадекватный биосинтез или почечную недостаточность. Потери карнитина могут также быть и на гемодиализе. Это предполагает прием карнитина в форме витаминов для некоторых пациентов. Симптомы дефицита включают гипоглицемию, которая приводит нарушению окисления жирных кислот и накоплению жирных кислоты и мышечной слабости. Лечится пероральным приемом карнитина. 
Наследственная недостаточность CPI-I влияет только на печень, приводя к снижению окисления жирных кислот и кетогенеза, с гипоглицемией. Дефицит СРI-II влияет в первую очередь на скелетную мускулатуру, когда тяжелая, поражает и печень. Препараты сульфанилмочевины (глибенкламид и толбутамид), используемые для лечения сахарного диабета 2 типа, снижают окисление жирных кислот и, таким образом, гиперглицемия из-за ингибирования СРТ-I.

Биосинтез жирных кислот и эйоказаноидов

Синтез жирных кислот происходит в экстрамитохондриальной системе, котора ответственна за полный синтез пальмитата из ацетил-СоА в цитозоле. У большинства млекопитающих, глюкоза является первичным субстратом для липогенеза. Критических заболеваний связанных с поражением этого пути у человека не обнаружено, однако подавление липогенеза имеет место при сахарном диабете 1 типа, и различных вариантах физической активности, влияющие на степень ожирения. 
Ненасыщенное жирные кислоты в фосфолипидах клеточной мембраны важны в поддержании жидкостного состояния мембраны. Высокое отношение полиненасыщенных жирных кислот к насыщенным (Р:S отношение) в диете рассматривается полезным для профилактики коронарной болезни сердца. Животные ткани имеют ограниченные возможности в десатурации жирных кислот, и требуют определенных пищевых полиненасыщенных кислот, получаемых из растений. Эти эссенциальные жирные кислоты обычно образуют эйкозаноидные (С20) жирные кислоты, которые дают начало эйкозаноидным простагландинам, тромбоксанам, лейкотриенам и липоксинам. Простагландины провоцируют воспаление, боль и вызывают сон, а также регулируют свертываемость крови и репродукцию. Нестероидные противовоспалительные средства (НПВС), такие как аспирин и ибупрофен, работают, блокируя синтез простагландинов. Лейкотриены влияют на мышечные сокращения и имеют хемотактические свойства, и играют важную роль в аллергических реакциях и воспалении. 

Основной путь для синтеза жирных кислот (липогенез) происходит в цитозоле

Эта система присутствует во многих тканях, включая печень, почки, мозги, легкие, молочные железы и жировая ткань. Ее требования к кофакторам включают NADPH, ATP, Mn2+, биотин и HCO3- (как источник СО2). Ацетил-СоА - моментальный субстрат, а свободный пальмитат (пальмитиновая кислота) - конечный продукт.

Образование Малонил-СоА - это начальный и контролирующий шаг в синтезе жирных кислот

Бикарбонат, как источник СО2 - необходим для начальной реакции карбоксилирования ацетил-СоА в малонил-СоА в присутствии АТФ и ацетил-CоА-карбоксилазы. Этот фермент играет главную роль в регуляции синтеза жирных кислот. Ацетил-СоА-карбоксилаза требует присутствия витамина В биотин, который является мультиферментным белоком, содержащий биотин, биотин-карбоксилазу, биотин-карбоксил-переносящий протеин и карбоксил-трансферазу, а также регуляторный аллостерический центр. Реакция протекает в два шага:
1) карбоксилирование биотина с участием АТФ
2) перенос карбоксильной группы на ацетил-СоА с образованием малонил-СоА.

Жирнокислотный синтазный комплекс - гомодимер из двух полипептидных цепей, имеющих шесть ферментных активностей

После образования малонил-СоА, жирные кислоты образуются синтазным жирнокислотным ферментным комплексом. Отдельные ферменты требуются для синтеза жирных кислот, и они связаны в этом мультиферментном полипептидном комплексе, в составе которого находится ацил-переносящий протеин (АСР, АПП), у которого функция подобна СоА в бета-окислении. Он содержит витамин пантотеновую кислоту в форме 4'-фосфопантетеин. В начале структура белка и ферментного домена связаны в последовательности указанной на рисунке ниже.
Синтазный комплекс, катализирующий образование жирных кислот, является димером. На мультиферментном комплексе происходит циклическая реакция, которая повторяется до тех пор, пока не образуется 16-углеродный ацильный радикал (пальмитоил). Последний высвобождается из ферментативного комплекса под действием шестого фермента , входящего в состав комплекса - тиоэстеразы (деацилазы). Свободная пальмитиновая кислота должна быть активирована ацил-СоА, прежде чем она сможет вступить в другой метаболичческий путь. Ее возможная судьба - эстерификация в ацилглицеролы, удлинение или десатурация, или эстерификация в эфир холестерина. 
В молочной железе есть разделяющая тиоэстереза, специфичная для ацильных остатков С8, С10 или С12 жирных кислот, которые в результате обнаруживаются в жире молока.
Объединение всех ферментов в единый комплекс обеспечивает высокую эффективность и устраняет конкуренцию других процессов, в результате достигается эффект компартментации данного пути в клетке без участия дополнительноых барьеров проницаемости.
Ниже представлено суммарная реакция синтеза пальмитата из ацетил-СоА и малонил-СоА:

Основной источник NADPH для липогенеза - пентозофосфатный путь

NADPH, вовлеченный как донор в реакциях восстановления (редукции), приобретает водород в окислительной реакции пентозофосфатного пути - основного источника водорода, для восстановительного синтеза жирных кислот. Существенно, что ткани, специализированные на активном липогенезе - печень, жировая ткань и лактирующая молочная железа - также имеют активный пентозофосфатный путь. Кроме того, оба метаболического пути протекают в клетке вне митохондрий, поэтому переходу NADPH/NADP от одного метаболического пути к другому не препятствуют мембраны или другие барьеры. 
Другим источником NADPH является реакция превращения малата в пируват, катализируемая "яблочным" ферментом (NADP малат дегидрогеназа), а также внемитохохндриальная реакция, катализируемая изоцитратдегидрогеназой, но вероятно, роль ее незначительна. 

Ацетил-СоА - принциальный связывающий блок в жирных кислотах

Ацетил-СоА, форируется из глюкозы через окисление пирувата в матриксе митохондрий. Однако, он не готов диффундировать через митохондриальные мембраны, его транспорт в цитозоль, главное место синтеза жирных кислот, требует специальный механизм, вовлекающий цитрат. После соединения ацетил-СоА с оксалоацетатом в цикле Кребса внутри митохондрий, произведенный цитрат может быть перенесен через экстрамитохондриальный компартмент с помощью трикарбоксилатный переносчик в присутствии СоА и АТФ, при этом расщепление ацетил-СоА и оксалоацетата катализируется АТФ-цитрат-лиазой, концентрация которого увеличивается при хорошем питании. Ацетил-СоА становится доступным для формирования малонил-СоА и синтеза жирных кислоты.
В результате оксалоацетат может образовывать малат через NADH-связанную малат-дегидрогеназу, с последующим образованием NADPH через яблочный фермент. NADPH становится доступным для липогенеза и пируват может быть использован для регенерации ацетил-СоА, после транспорта в митохондрию. Этот путь означает перенос восстановленных (редуцированных) эквивалентов экстрамитохондриального NADH на NADP.
Альтернативно, малат может быть транспортирован в митохондрию, где способен образовываться обратно в оксалоацетат. Обратите внимание, что цитрат (трикарбоксилат)-транспортер в митохондриальной мембране требует малат в обмен на цитрат. 

Удлинение цепей жирных кислот происходит в эндоплазматическом ретикулуме

Путь - "микросомальная система" - удлинения насыщенных и ненасыщенных жирных кислот, производных ацил-СоА (от С10 и более) используют 2 атома углерода, с помощью малонил-СоА - в качестве донора ацильной группы и NADPH - восстановитель (редуктатор), при катализировании системы микросомальной жирнокислотной элонгазы. Удлинение стеарил-СоА в мозгах быстро увеличивается во время миелинизации для обеспечения С22 и С24 жирными кислотами, входящими в состав сфинголипидов.

Питательный статус организма регулирует липогенез

Излишние углеводы откладываются в форме жира у многих животных в ожидании периодов дефицита калорий, таких как голодание, гибернация и т.д. и обеспечение энерегией для использования между приемами пищи у животных, включая людей, которые принимают пищу интервально. 
Липогенез конвертирует излишек глюкозы в промежуточные продукты, такие как пируват, лактат и ацетил-СоА в жиры, способствуя анаэболической фазе этот пищевой цикл.
Пищевое состояние организма - это основной фактор, регулирующий скорость липогенеза. Скорость высокая у животных, содержащих высокую  пропорцию углеводов в рационе, и подавленная при снижении содержания калорий, высоко-жировой диете и дефиците инсулина при сахарном диабете. Эти последние состояния ассоциированы повышенной концентрацией свободных жирных кислот, и имеется обратное отношение между печеночным липогенезом и концентрацией свободных жирных кислот. 
Липогенез увеличивается, когда в питании присутствует сахароза, вместо глюкозы, так как фруктоза проходит через фосфофруктокиназный контрольный пункт в гликолизе и идет в липогенный путь.

Ацетил-СоА-карбоксилаза - это наиболее важный фермент, контролирующий липогенез

Ацетил-СоА-карбоксилаза - аллестерический фермент, активируемый цитратом, чья концентрация увеличивается в насыщенном состоянии и является индикатором обильного снабжения ацетил-СоА. Цитрат обеспечивает конверсию фермента из неактивного димера (две субъединицы ферментного комплекса) в  активную полимерную форму, с молекулярной массой несколько миллионов. 
Инактивация вызывается фосфорилированием фермента и длинноцепочными молекулами ацил-СоА, снизу пример отрицательной обратной регуляции продуктом реакции.​
Таким образом, ацил-СоА накапливается, потому что эстерификация недостаточно быстрая или потому что усиленный липолиз или происходит захват тканями свободных жирных кислот - это все будет автоматически снижать синтез новых жирных кислот. Ацил-СоА также ингибирует митохондриальный трикарбоксилазный транспортер, таким образом предотвращая активацию фермента на выход цитрата из митохондрии в цитозоль.
Ацетил-СоА-карбоксилаза регулируется также такими гормонами, как глюкагон, эпинефрин и инсулин через изменение его состояния фосфорилировония.

Клинические аспекты

Симптомы дефицита эссенциальных жирных кислот включают кожные поражия и нарушения липидного транспорта

У взрослых придерживающихся обычной диеты, не имеется признаков дефицита эссенциальных жирных кислоты. Однако, у новорожденных, получающих искусственное питание с пониженным содержанием жиров и пациенты, придерживающиеся исключительно внутривенным питанием с пониженным содержанием эссенциальных жирных кислоты наблюдаются симптомы которые могут быть предотвращены приемом эссенциальных жирных кислот в 1%-2% от общей калорийности рациона. 
Аномальный метаболизм эссениальных жирных кислоты может быть связан с пищевой несостоятельностью, и наблюдается при кистозном фиброзе, энетропатийном акродерматите, гепаторенальном синдроме, Сьёрген-Ларссона синдроме, мультисистемной неврологической дегенерации, болезни Крона, циррозе и алкоголизме, и синдроме Рейя. Диеты с высоким отношением P:S (полиненасыщенные/насыщенные жирные кислоты) снижают сывороточный уровень холестерина и имеются положительные эффекты на риски развития коронарной болезни сердца.

Биосинтез ацилглицеролов

Биомедицинское значение

В организме большая часть липидов представлена ацилглицеролами в виде триацилглицеролов (триглицеридов); являются главными липидами жировых отложений и пищи. Кроме того, ацилглицеролы, в первую очередь фосфолипиды, являются основными компонентами плазматических и других мембран.
Роль триацилглицеролов в транспорте и запасании липидов, а также в развитии таких заболеваний, как ожирение, сахарный диабет и гиперлипопротеинемия. Фосфоглицеролы, фосфофинголипиды и гликосфинголипиды идеально выполняют функции основных компонентов плазматической мембраны. Некоторые фосфолипиды выполняют особые функции. Например, дипальмитоил-лицетин является основным компонентом легочного суфрактанта (поверхностно-активного вещества) легких, который иногда отсуствует у недоношенных детей, в результате чего у них наблюдается респираторный дистресс-синдром. Инозитол-содержащие фосфолипиды клеточных мембран работают, как предшественники вторыми гормональными мессенджерами, а тромбоцит-активирующим фактором является алкифосфолипид. 
Гликофосфолипиды, содержащие сфингозин и сахарные остатки, также как жирные кислоты, обанружены на наружной поверхности плазматической мембраны с их олигосахаридными цепями торчащими наружу, образуют часть гликокаликса клеточной поверхности и выполняет следующие функции:
1) в клеточной адгезии и клеточного распознования;
2) рецепторы для бактериальных токсинов, например холерного токсина;
3) соединения, определяющие группы крови (система АВО).
В настоящее время описаны десятки заболеваний, связанных с накоплением гликолипидов, например, болезнь Гоше, болезнь Тея-Сакса, ризвивающихся из-за генетического дефекта в пути гликолипидной деградации в лизосомах.

Гидролиз начинает катаболизм триглицеридов

Путь катаболизма триацилглицеролов начиается с их гидролиза до жирных кислот и глицерола под влиянием липазы. Большая часть этого гидролиза (липолиза) происходит в жировой ткани с высвобождением свободных жирных кислот в плазму, где они связываются с сывороточным альбумином. Затем свободные жирные кислоты поглощаются такнями (включая печень, сердце почки, мышцы, легкие, яички и жировая ткань, но не мозговая), где они окисляются для получния энергии или реэстефицируются.  Утилизацияглицерола зависит от того, имеет ли ткань фермент глицерол-киназу, который обнаруживаются в значительном количестве в печени, почках, кишечнике, бурой жировой ткани и в молочных железах во время лактации.

Триацилглицеролы и фосфоглицеролы образуется ацилированием тремя фосфатами

Основные пути биосинтеза триацилглицеролов и фосфоглицеролов представлены в схеме ниже. 
Важные соедние, такие как, триацилглицеролы, фосфатидилхолин, фосфатидилэтаноламин, фосфатидилинозитол и кардиолипин - составляющие митохондриальных мембран, образуются из глицерол-3-фосфата. Важные ветви путей происходитя на местах фосфатидата и диацилглицерола. Фосфоглицеролы, содержащие связь (-С-О-С-), известные как плазмалогены и тромбоцит-активирующий фаткор (ТАФ, PAF), получаются из дигидроксиацетон-фосфата. Глицерол-3-фосфат и дигидроксиацетон-фосфат - промежуточные продукты гликолиза, созадют очень важную связь между метаболизмом углеводов и липидов. (смотрите статью Углеводы).

Биосинтез триацилглицеролов

Две молекулы Ацетил-СоА, образованные в результате активации жирных кислот ацил-СоА-синтетазой, образуют с глицерол-3-фосфатом соединение фосфатидат (1,2-диацилглицерол фосфат). Это происходит в 2 стадии, катализируемые ферментами глицерол-3-фосфат-ацилтрансфераза и 1-ацилглицерол-3-фосфат-ацилтрансфераза. Фосфатидат конвертируется фосфатидат-фосфогидролазой (также называемой фосфатидат-фосфатаза (ФАФ, РАР)) и диацилглицерол-ацилтрансферазой (ДГАТ, DGAT) до 1,2-диацилглицерола и затем триацилглицерола. ДГАТ катализирует только один шаг специфичный в синтезе триацилглицеролов, и полагаются, что это скорость-лимитирующий фермент. В кишечной слизистой, моноацилглицрол-ацилтрансфераза конвертирует моноацилглицерол в 1,2-диацилглицерол в моноацилглицерольном пути. Большая часть активности этих ферментов происходит в эндоплазматической сети, но у некоторых имеется и в митохондриях. 
Сверху: формирование триглицерида в адипоците (и мышце) включает серию реакций (дегидрационного синтеза) который связывает три молекулы жирной кислоты в один глицеридный ствол.
Снизу: резюмирующая схема этих взаимосвязей.
Последовательность реакций синтеза триглицеридов называется эстерификацией. Изначально субстрат жирной кислоты присоединяется к коферменту А, формируя жирный ацетил-CoA, который переводится в глицерин (как глицерол 3-фосфат). В последовательностях реакций две дополнительные жирные кислоты ацил-CoA присоединяются к основанию одинарной глицериновой молекулы, формируя триглицерид. Синтез триглицеридов увеличивается после приема пищи по двум причинам:
1) прием пищи увеличивает уровень жирных кислот и глюкозы в крови;
2) относительно высокие уровни циркулирующего инсулина способствуют синтезу триглицеридов.

Биосинтез фосфолипидов

Фосфоглицеролы - это фосфолипиды, образующиеся либо из фосфатидита (например, фосфтилилинозитол), либо из 1,2-диацилглицерола (например, фосфатидилихолин и фосфатидилэтаноламин). 
При синтезе фосфтидилинозитола цитидинтрифосфат (СТР) взаимодействует с фосфатидатом с образованием цитидин-дифосфат-диацилглицерола (CDP-диацилглицерол), который при участии фермента CDP-диацилглицерол-инозитолтрансферазы реагирует с инозитолом, в результате образуется фосфатидилинозитол. Затем происходит последовательное фосфорилирование в две реакции, продукт последней гидрализуется с образованием диацилглицерола и инозитолтрифосфата (процесс запускается гормонами, в частности вазопрессином, которые повышают концентрацию Ca2+). Эти два продукта действуют, как вторые посредники при действии гормонов. 
При синтезе фосфатидилхолина и фосфатидилэтаноламина (лецитина и кефалина) холин и этаноламин должны сначала перейти в активную форму. На первой стадии процесса в результате реакции аткивации с АТФ образуется соответсвующий моносфосфат, который затем реагирует с СТР, в результате чего образуется либо цитидин-дифосфат-холин (CDP-холин), либо цитдин-дифосфат-этаноламин (CDP-этаноламин). Активированные продукты вступают в реакцию с 1,2-диацилглицеролом и образуется либо фосфатидилхолин либо фосфатидилэтаноламин. 
Фосфатидилсерин синтезируется путем прямого взаимодействия фосфатидилэтаноламина и серина. 
Несмотря на эти источники холина, он рассматривается эссенциальным веществом у многих млекопитающих , хотя это не оценено у людей.
Регуляция биосинтеза триациглицеролов, фосфатидилхолина и фосффатилидэтаноламина происходит при наличии доступности свободных жирных кислот. Те, которые избегают окисления, преоритетно конверитруются в фосфолипиды, и когда эти требования удовлетворены, они используются для синтеза триацилглицеролов.
Кардиолипин (дифосфатидилглицерол) - это фосфолипид, присутствующий в митохондриях. Он образуется из фосфатидилглицерола, который в свою очередь образуется из СDP-диацилглицерола и глицерол-3-фосфата. Как показано на схеме ниже. Кардиолипин обнаруживается во внутренней мембране митохондрий, и играет ключевую роль митохондриальной структуре и функции, а также, полагают, что он вовлечен в запрограммированную клеточную гибель (апоптоз).

Биосинтез фосфолипидов эфира глицерина

Фосфолипиды эфиров глицерина содержат один или более углеродов глицерола прикреплен к гидрокарбоновой цепи эфирной связью.
Плазмалогены и тромбоцит-активирующий фактор - важные примеры этого типа липидов. Дигидроксиацетон-фосфат - предшественник глицериновой фрагмента. Взаимодействуя с ацил-СоА, он превращается в 1-ацилдигдироксиацетонфосфат. Эфирная связь формируется в следующей реакции, производящей 1-алкилдигидроксиацетон-фосфат, который потом конвертируется в 1-алкилглицерол-3-фосфат. Последующее ацилирование в положении 2 приводит к образованию 1-алкил-2-ацилглицерол-3-фосфат (аналог фосфатидата), и потом гидролизируется до 1-алкил, 2-ацилглицерола. В митохондриях большинство фосфолипидов представлено плазмалогенами, которые образуются десатурацией аналогичного производного 3-фосфаэтаноламина. 
Тромбоцит-активирующий фактор (ТАФ, PAF) (1-алкил-2-ацетил-sn-глицерол-3-фосфохолин) - синтезируется из соответствующего производного 3-фосфохолина.  Он образуется во многих кровяных клетках и других тканях и аггрегирует тромбоциты в концентрациях не ниже 10-11 моль/л. Он также имеет гипотензивные и проязвенные свойства и вовлечен во множество биологических ответов, включая воспаление, хемотаксис и фосфорилирование белков. 

Фосфолипаза гидролизирует и ремоделирует фосфоглицеролы

Хотя все фосфолипиды активно распадаются, каждая часть молекулы обновляется с различной скоростью, то есть, время обновления фосфатной группы отличается от 1-ацильной группы. Это объсняется наличием ферментов, которые вызывают частичную деградацию с последующим ресинтезом. 
Фосфолипаза А2 катализирует гидролиз глицерофосфолипидов с образованием свободной жирной кислоты и лизофосфолипида, последний реацилируется ацил-СоА в пристутсвии ацилтрансферазы. Альтернативно лизофофосфолипид (например, лизолецитин) атакуется лизофосфолипазой (фосфолипазой В), и высвободившееся глицерофосфатное расщепляется гидролазой с образованием глицерол-3-фосфата и основания.  
Фосфолипазы A1, A2, B, C и D атакуют связи, указанные на рисунке ниже.
Фосфолипаза А2 обнаружена в панкреатической жидкости и яде змей, также как во множестве типов клеток. Фосфолипаза С - один из основных токсинов, секретируемых бактериями, а фосфолипаза D - известна тем, что вовелечена в передачу сигналов у млекопитающих. 
Лизолецитин (лизофосфатидилхолин) может быть образован по альтернативному пути с вовлечением лецитина: холестерол-ацилтрансферазы (ЛХТА, LCAT). Этот фермент, обнаруженный в плазме, катализирует перенос остатка жирной кислоты из положения 2 лецитина на холестерол, в результате чего образуется сложный эфир холестерола и лизолецитин, и считается, эта реакцияя ответственная за образование большей части эфиров холестерола - плазматических липопротеинов. 
Длинноцепочные насыщенные жирные кислоты находятся в основном в 1-м положении фосфолипидов, тогда как в ненасыщенных (например, предшественниках простагланиднов) - в положении 2. Вовлечение жирной кислоты в лецитин происходит в три этапа: полный синтез фосфолипида; транас-ацилирование между эфиром холестерола и лизолецитином; и прямое ацилирование лизолецитина ацил-СоА.
Таким образом происходит постоянный обмен жирных кислоты, особенно важным является включение в молекулы фосфолипидов незаменимых жирных кислот.

Все сфинголипиды образуются из церамидов.

Церамиды синтезируются в эндоплазматической сети из аминокислоты серин. Церамид - это важная сигнальная молекула (второй мессендежер), регулирующий метаболические пути, включая запрограммированную клеточную гибель (апоптоз), клеточный цикл, и клеточную дифференцировку и старение.
Сфингомиелины  - это фосфолипиды и образованы когда церамид реагирует с фосфатидилхолином с получением сфингомиелина и диацилглицерола.
Этот процесс происходит в основном в аппарате Гольджи и в меньшей степени в плазматической мембране.

Гликосфинголипиды - это комбинация церамида с одним или более остатков сахаров.

Самые простые гликосфинголипиды (цереброзиды) - галактозилцерамид (GalCer) и глюкозилцерамид (GlcCer). GalCer - основной липид миелина, тогда как GlcCer - основной гликосфинголипид экстраневральных тканей и предшественник большинства более сложных гликосфинголипидов. 
GalCer - образуется в реакции между церамидом и UDPGal (уридилфосфатгалактоза).
Ганглиозиды синтезируются из церамида путем последовательного присоединения активированных сахаров и одной молекулы из сиаловых кислот, обычно N-ацетилнейроаминовую кислоту.
Гликосфинголипиды являются компонентами наружного слоя плазматической мембраны и важны в клеточной адгезии и клеточном распозновании. Некоторые антигены, например, АВО-групповые субстраты. Некоторые ганглиозиды функционируют в качестве рецепторов для бактериальных токсинов (например, холерного токсина, который впоследствии активирует аценилил-циклазу).

Клинические аспекты

Дефицит легочного суфтрактанта вызывает респираторный дистресс-синдром

Легочный суфрактант состоит в основном из липидов с небольшим количеством белков и углеводов, и предотвращает альвеолы от спадания. Фосфолипид дипалмитоил-фосфатидилхолин снижает поверхностное натяжение в воздушно-жидкостном переходе поверхности легких, и таким образом существенно снижает работу дыхательных мышц, но другой суфрактантный липид и белковый компонент - также важны в функции суфрактанта. Дифицит легочного суфрактана в легких у многих недоношенных вызывает младенченский респираторный дистресс-синдром (IRDS). Назначение натурального или искусственного суфрактанта - терапевтический подход в таких состояниях.

Фосфолипиды и сфинголипиды вовлечены во множественные склеротические и липидозные заболевания

Ряд заболеваний характеризуется накоплением избыточных количеств данных липидов в клетках, чаще всего в нервных. Эти заболевания можно разделить на 2 группы: 
1) истинные демиелизирующие заболевания и
2) сфинголипидозы.
При рассеянном склерозе, который относится к первой группе заболеваний, наблюдается потеря как фосфолипидов (особенно этаноламин-плазмалоген), так и сфинголипидов из белого вещества. В результате белое вещество по составу становится похожим на серое. В спиномозговой жидкости обнаруживается повышенное содержание уровня фосфолипидов.
Сфинголипидозы (болезнь накопления липидов) - группа наследственных заболеваний, вызываемая генетическим дефектом катаболизма липидов, содержащих сфингозин. Они являются частью большой группы лизосомальных заболеваний и демонстрируют несколько постоянных признаков:
1) сложные липиды, содержащие церамид накапливаются в клетках, особенно нейронов, вызывая нейродегенарацию и сокращение жизни;
2) скорость синтеза запасаемого липида нормальна;
3) ферментативный дефект пути лизосомальной деградации сфинголипидов;
4) степень снижения активности фермента во всех тканях одинакова. 
Не существует эффективного лечения большинства этих заболеваний, хотя некоторый эффект достигается заместительной ферментативной терапией и костным трансплантантом терапии болези Коши (Гошер) и Фабри. 
Множественная недостаточность сульфатаз приводит к накоплению сульфогалактозилцерамида, сульфостероидов и протеогликанов из-за одновременного недостатка ацилсульфатаз А, В, С и стероидсульфатазы.

Транспорт и запасание липидов

Жиры, попадающие в организм с пищей, и липопротеиды, синтезируемые в печени и жировой ткани, должны транспортироваться в другие ткани и органы, где они используются, либо запасаются. Поскольку липиды нерастворимы в воде, то для транспорта происходит взаимодействие липидов с белками, в результате образуются смешивающиеся с водой липопротеиды.
Излишние калории откладываются, которые расходуются при дефиците. Липопротеины осуществляют транспорт липидов из кишечника в составе хиломикронов из печени в составе липопротеинов очень низкой плотности (ЛПОНП) в различные ткани, где они окисляются или в жировую ткань, где они откладываются про запас. Липиды мобилизуются из жировой ткани в форме свободных жирных кислот, связанные с сывороточным альбумином. Нарушения метаболизма липопротеинов вызывают различные гипо- и гиперлипидемии. Наиболее распространенным заболеванием является сахарный диабет, при котором дефицит инсулина вызывает избыточную мобилизацию свободных жирных кислоты и снижение утилизации хиломикронов и ЛПОНП, в результате развивается гипертриацилглицеролемия. Большинство других патологических заболеваний затрагиваюют липидный транспорт из-за наследственных дефектов, некоторые из которых вызывают гиперхолестеролемии и раннего атеросклероза. Ожирение - особенно абдоминальное ожирение - фактор риска смерти, гипертонии, сахарного диабета 2-го типа, гиперлипидемии, гиперглицемии и различных эндокринных функций.

Липиды транспортируются в плазме в форме липопротеинов

Четыре основных класса липидов присутствует в липопротеинах

В плазме крови содержатся следующие липиды:
  • триацилглицеролов (триглицеридов) 16%
  • фосфолипидов 30%
  • эфиров холестерина 36%
  • и значительно меньшая фракция неэстерифированных длинноцепочечных жирных кислот (СЖК) 4%.
СЖК являются метаболически наиболее активными липидами плазмы.
Так как жир менее плотный, чем вода, плостность липопротеинов  снижается по мере увеличения пропроции жиры/белки. Четыре основных группы липопротеинов вовлечены в транспорт холестерина, а липопротеины промежуточной плотности ЛППП в метаболизм хиломикронов. 
Триглицериды в основном в хиломикронах и ЛПОНП, тогда как холестерол и фосфолипиды в основном в ЛПНП и ЛПВП. 
Липопротеины могут быть классифицированы согласно их элерофорезным свойствам на альфа - ЛПВП, бета - ЛПНП, пре-бета - ЛПОНП.

Липопротеины состоят из неполярного ядра и монополярного наружного слоя из амфипатических липидов

Неполярное липидное ядро состоит в основнов из триглицеридов и эфиров холестерина и окружено монополярным поверхностным слоем из амфипатических фосфолипидов и молекул холестерина. Они ориентированы так, чтобы их полярные группы располагались наружу к водяной сердцевине, также, как и в клеточной мембране. Белковая часть липопротина известна как аполипопротеин или апопротеин, составляющие до 70% ЛПВП и менее 1% хиломикронов.

Распроспределение аполипопротеинов, характеризующих липопротеин

Один или более аполипопротеинов (протеины или полипептиды) - присутствуют в каждом липопротеине. Они обычно обозначаются аббревиатурой буквами А, В, С и т.д. Некоторые аполипопротеины интегративные, и не могут быть удалены (например, апо-В), тогда как другие - привязаны к поверхностни и свободно перемещаются на другие липопротеины, например, апо-С и Е. 
Основной аполипопротеин ЛПНП (бета-липопротеин) - это апо-В (В-100), который обнаружен также в ЛПОНП.
Хиломикроны содержат усеченые формы апо-В (В-48), которые синтезируются в клишечнике, тогда как В-100 - синтезируются в печени.
Апо-В-100 - один из самых длинных одиночных полипептидных известных сейчас, имеющих 4536 аминокислот, молекулярная масса которого 550 000 Дальтон.
Апо С-I, C-II и С-III - более мелкие полипетиды (молекулярная масса 7 000 - 9 000 Дальтон), свободно переходят между несколькими липопротеинами.
Апо Е обнаруживается в ЛПОНП, ЛПВП, хиломикронах и хиломикронных остатках, также свободно переходящие в нормальном состоянии. 
Аполипопротеины выполняются несколько функций:
1. они могут формировать структуру липопротеина, например, апо-В;
2. они коэнзимный фактор, например, С-II для липопротеин-липазы, А-I для лецитин:холестол-ацилтрансферазы, или ингибиторами ферментов, например, апо A-II и апо С-III для липопротеинлипазы, апо С-I эфира холестерола переносящей протеин;
3. они служат лигандами для интеграции липопротеиновых рецепторов и тканях, например апо В-100 и апо Е рецептора ЛПНП, а апо Е для ЛПНП-рецептор-связанного протеина-1 (LRP-1), а апо А-I для рецептора ЛПВП.
Функции апо А-IV и апо D однако на настоящий момент не совсем ясны, хотя полагают, что апо D является важным фактором в человеческих нейродегенеративных заболеваниях.

Холестерол

Биомедицинское значение холестерола

Холестерол присутствует в тканях и плазме, как в форме свободного холестерола или в комбинации с длинноцепочными жирными кислотами, как эфиры холестерола, форма хранения. В плазме обе формы транспортируются в липопротеинах. Холестерол является эссенциальным компонентом мембран, там где важно поддержание проницаемости и текучести, а также в наружной оболочке плазматических липопротеинов. Он синтезируется во многих тканях из ацетил-СоА и является предшественником других стероидов организма, включая кортикостероидов, половых гормонов, желчных кислоты и витамина Д. Являясь типичным соединением животного метаболизма, холестерол встречается в таких продуктах, как яичный желток, мясо, печень и мозги. 
Плазматичекие липопротеины низкой плостности ЛПНП является переносчиками, снабжающими холестеролом и эфирами холестерола многие ткани. Свободный холестерол удаляется из тканей плазматическими липопротеинами высокой плотности ЛПВП, и транспортируется в печень, где элеминируется из организма, как неизменным, или после превращения жирными кислотами в процессе, известном под названием обратный транспорт холестерола (см.ниже).
Холестрол является основным компонентом желчных камней, однако его главная роль патологических процессах - он причинный фактор атеросклероза важных артерий, вызывая цереброваскулярную, коронарную,  и периферических сосудов болезни. 

Холестерол синтезируется из ацетил-СоА

Немного больше половины холестеролина в организме образуется путем синтеза (около 700 мг/день), а остальной поступает с пищей. Печень и кишечник производят по 10% каждый от общего синтеза в организме. В целом, все ткани, содержащие ядерные клетки способны синтезировать холестерол, производитсво которого происходит в эндоплазматическом ретикулуме и цитозольных компартментах.  
Холестерол - это 27-углеродное соединение, состоящее из 4-х колец и одной сторонней цепи. Он синтезируется из ацетил-СоА длинным путем, который может быть разделен на 5 шагов:
1. Синтез мевалоната из ацетил-СоА;
2. Образование изопреноидных единиц из мелаволаната, в результате потери СО2;
3. Конценсация шести изопреноидных единиц с формированием сквалена;
4. Сквален циклизуется образуя родительский стероид ланостерол;
5. Образование холестерола из ланостерола.

Синтез холестерола контролируется ГМГ-СоА-редуктазой

Регуляция синтеза холестерола происходит на раннем (1-м) этапе, и контролируется 3-Гидрокси-3-Метилглутарил-СоА-редуктазой (ГМГ-СоА-редуктаза, HMG-CoA-reductase). В период голодания происходит снижение активности этого фермента. ГМГ-СоА-редуктаза ингибируется в печени мевалонатом и холестеролом по принципу обратной связи. Холестрол и метаболиты подавляют транскрипцию ГМГ-СоА-редуктазы через активацию стерол-регулирующего-элемент-связывающего-белка (SREBP) транскрипционного фактора. Активация SREBP вызывает подавление INSIG (инсулин-стимулирующий-ген). Инсулин стимулирует также деградацию ГМГ-СоА-редуктазы. Отмечается суточная вариация с синтезе холестерола и активности редуктазы.
Инсулин или тиреоидный гормон повышают активность ГМГ-СоА-редуктазы, тогда как глюкагон и глюкокортикоиды снижают ее.
АМФ-активированная-протеин-киназа (АМФК) фосфорилирует и инактивирует ГМК-СоА-редуктазу.
Попытки снизить уровень плазматического холестерола у людей, путем снижения пищевого холестерина приводят к различным результатам. В целом, снижение на 100 мг пищевого холестерола вызывает снижение приблизительно 0,13 ммоль/л сывороточного холестерола.

Многие факторы влияют на баланс холестерола в тканях

Повышение в клетках уровня холестерола вызывается в результате:
1) захвата холестерол-содержащих липопротеинов рецепторами, например ЛПНП-рецептор или рецептор-мусорщик;
2) безрецептного захвата свободных холестеролов из богатых ими липопротеинов клеточными мебранами;
3) синтеза холестерола;
4) гидролиза эфиров холестерола ферментов гидролазой эфиров холестерола.
Снижение содержания холестерола наблюдается при:
1) переходе холестерола из мембран в липопротеины с низким содержанием холестерола, в частности ЛПВП3 или новообразуемые ЛПВП (в результате работы фермента ЛХАТ лецитин:холестерол-ацилтрансфераза);
2) эстерификация холестерола АХАТ (ацил-СоА:холестеролацилтрансфераза);
3) использование холестерола для синтеза других стероидов, в частности гормонов и желчных кислот в печени. 

Холестерол транспортируется между тканями в плазматических липопротеинах

Холестерол транспортируется в плазматических липопротеинах, где большая часть представлена эфирами холестерина, и у людей большей частью в ЛПНП. 
Диетический эфир холестерола гидролизируется до холестерола, который затем адсорбируется в кишечнике вместе с неэстерифицированным холестеролом и другими липидами. С холестролом, синтезированным в кишечнике, он соединяется в хиломикроны. 80-90% холестерола эстерифицировано с длинноцепочными жирными кислотами в слизитой кишечника. 95% холестерола хиломикронов транспоритруется в печень, а большая часть холестерола, секретируемого печень - в форме ЛПОНП, во время образования ЛППП (или ЛПСП), и в конце концов ЛПНП, который захватывается рецептором ЛПНП и внепеченочными тканями.

Холестерол экскретируется из организма желчью в форме желчных кислот (солей)

Холестерол выводится из организма желчью в неэстерифицированной форме или после превращения в желчные кислоты в печени. Копростанол - главный стерол кала, он образуется из холестерола бактериями толстого кишечника.
Первичные желчные кислоты синтезируются из печени через ряд промежуточных соединений. Среди желчных кислот доминирует холевая кислота. Холевая и денодезоксихолевая кислоты имеют общего предшественника, образуеющего из холестерола.
При недостатке витамина С образование желчных кислот тормозится, что приводит к накоплению холестерола; у больных цингой морских свинок развивается атеросклероз.
В норме желчные кислоты проступают в желчь в виде конъюгатов в глицином и таурином.
В кишечнике часть первичных желчных кислот под действием кишечных бактерий подвергается деконъюгированию и 7-альфа-дегидроксилированию, в результате чего образуются вторичные желчные кислоты: из холевой кислоты - дезоксихолевая кислота и из хенодезксихолевой кислоты - литохолевая кислота. 
Продукты переваривания липидов, в том числе холестерол, всасываются в верхнем отделе тонкого кишечника (первые 100 см), однако первичные и вторичные желчные кислоты всасываются практически только в подвздошной кишке, и 98-99% возвращаются в через систему воротной вены в печень. Этот цикл желчных кислот носит название кишечно-печеночной циркуляции. Однако, литохолевая кислота из-за плохой раствормиромти, не реабсорбируется в кишечнике. 
Только небольшая часть желчных солей (прилизительно 500 мг/сутки) избегает абсорбции и выделяется с калом. Несмотря на это, это основной путь выделения холестерола из организма. Каждый день пул желчных кислот (3-5 г) циркулирует через кишечник от 6 до 10 раз, а количество желчных кислот, теряемых с калом, синтезируется из холестерола, таким образом, количество желчных кислот постоянно и поддерживаемо. Регуляция этого процесса осуществляется по принципу оратной связи. 

Свободные жирные кислоты метабизируются очень быстро

СЖК поступают в плазму при праспаде триглицеридов в жировой ткане или в результате воздействия липопротеинлипазы на триглицериды плазмы. В плазме крови они обнаруживаются в комбинации с альбумином, и концетрация их варьирует от 0,1 до 2,0 мкэкв/мл; уровни очень низкие при насыщенном состояннии и поднимаются до 0,7 - 0,8 мкэкв/мл при голодании. При некоторолируемом сахарном диабете поднимают до 2 мкэкв/мл. 
Из крови СЖЖ удаляются очень быстрои окисляются (восполняя до 25-50% энерегетических требований при голодании) или эстерифицируются до триацилглицеролов в тканях. При голодании, эстерифицированные липиды из циркуляции или из тканей также окисляются, особенно в сердце и скелеткных мышечных клетках, где обнаружены значительные отложения липидов.
После диссоциации комплекс СЖК-альбумин на плазматической мембране связывается с мембранным-протеином-транспортирующим-жирные-кислоты, который работает как мембранный транспортер с Na+. При вхождении в цитозоль, СЖК связыватся с внутриклеточным протеином-связывающим-жирные-кислоты. Роль этих протеинов - внутриклеточный транспорт.

Триацилглицеролы транспортируются из кишечника в хиломикронах, а из печени - в ЛПОНП.

Определение хиломикронов происходит от слова хилус (млечный сок), образующийся только в лимфатической системе кишечных ворсинок. Они отвечают за транспорт всех пищевых липидов в циркуляции. Маленькое количество ЛПОНП также обнаружено в хилусе; однако, большинство ЛПОНП в плазме печеночной природы. Они транспортируют триацилглицеролы из печени в экстрапеченочные ткани. 
Необходимым компонентом при образовании хиломикронов и ЛПОНП является апобелок В. 
Скорость поглощения хиломикронов из кровотока очень быстрая, половича исчезает в течение 1 часа у человека. Большие частицы катаболизируются быстрее, чем мелкие. Жирные кислоты, происходиящие из хиломикровновых триглицеридов доставляются в основном в жировую ткань, сердце и мышцы (80%), тогда как 20% идет в печень. Однако, печень не метаболизирует хиломикроны или ЛПОНП, таким образом жирные кислоты в печени должны быть метаболизироваться предварительно в экстрапеченочных тканях. 

Триацилглицеролы холестерола и ЛПОНП гидролизуются липопротеинлипазой из остатков липопротеинов

Липопротеинлипаза расположена в клеточной стенке капилляров, заякорена в эндотелии отрицательно заражянным протеогликановыми цепями гепарансульфата. Она была найдена в сердце, жировой ткани, селезенке, легких, мозговом веществе почек, аорте, диафрагме и лактирующей молочной железе, хотя она не активно в печени взрослых. В норме она не обнаруживается в крови, однако после инъекции гепарина, липопротеинлипаза высвобождается из своей гепарансульфатной связи в циркуляцию. Печеночная липаза привязана к поверхности печеночных клеток и также высвобождает гепарином. Этот фермент, однако, не реагирует сразу с хиломикронами или ЛПОНП, но вовлечен в метаболизм отстатков хиломикронов и ЛПВП.
И фосфолипиды и апо-СII требуют наличия кофакторов для липопротеинлипазы, тогда как апо-А-II и апо-С-III работают как ингибиторы. 
Гидролиз начиет, когда липопротеины прикрепляются к ферменту на эндотелии. Триацилглицерол гидролизируется последовательно через диацилглицерол до моноацилглицерол и наконец СЖК плюс глицерол. Некоторые, из высвобожденных СЖК возвращаются в циркуляцию, прикрепленные к альбумину, крупные транспортируются в ткани.
Сердечная липопротеинлипаза имеет низкую скорость для триацилглицеролов, около 1/10 по сравнению с ферментом жировой ткани. Это делает возможным направлять жирные кислоты из триацилглицеролов, высвобождаемых из жировой ткани к сердцу во время голода.
Подобное перенаправление в молочные железы происходит во время лактации, позволяя поглощать липопртеин триацилглицерольных жирных кислот для синтеза жира молока. 
Рецептор ЛПОНП играет важную роль в доставке жирных кислот из ЛПОНП триацилглицерола к адипоцитам, связывая ЛПОНП  и притягивая его к близкому контакту с липопротеинлипазой.
В жировой ткане инсулин усиливает синтез липопротеинлипазы в адипоцитах и его перемещение в просвет капиллярного эндотелия.
Реакция с липопротеинлипазой приводит к потере от 70% до 90% триацилглицеролов хиломикронов и потерю апо-С (который возвращается к ЛПВП), но не апо Е, который сохраняется. В результате образуется отстаток хиломикрона в половину диаметра от родительского хиломикрона и относительно обогащенный холестеролом и эфиром холестерола, потому что потерял триацилглицерол. 
Подобные изменения происходят и в ЛПОНП, которые образуют остаток ЛПОНП (который также называется липопротеин промежуточной плотности, ЛППП).

Печень ответственна за захват остатков липопротеинов

Остатки хиломикронов захватываются печенью рецепторным эндоцитозом, и эфиры холестерола и триацилглицеролы гидролизируются и метаболизируются. Захват метаболизируется апо Е через два Е-зависящие рецепторы, ЛПНП (апо-В-100, Е) рецептор и ЛЗП-1 (ЛПНП зависящий протеин-1 ( LRP-1). Липаза играет здесь двойную роль: 1) работает как лиганд, чтобы способствовать захвату остатков и 2) гидролизирует отстатки триацилглицеролов и фосфолипидов. 

ЛПНП метаболизируются через рецептор-ЛПНП

Печень и многие внепеченочные ткани экспрессируют рецептор-ЛПНП (апо-В-100, Е). Приблизительно 30% ЛПНП деградирует внепечночно и 70% в печени. Положительная корреляция существут между случаями атеросклероза и плазматической концентрацией холестерола ЛПНП. ЛПНП (апо-В100, Е) рецептор - дефективен в случаях семейной гиперхолестеринемии, генетическое состояние, при котором уровень холостерола ЛПНП повышается, вызывая преждевременный атеросклероз. 

ЛПВП участвуют, как в метаболизме липопротеинтриацилглицеролов и холестерола

ЛПВП синтезируется и секретируется, как в печени, так и в кишечнике. Однако, апо С и апо Е синтезируются в печени и переносятся ЛПВП из печени в кишечник, когда выходят в плазму. 
Основная функция ЛПВП своего рода хранилище апо С и апо Е, которые требуются в метаболизме хиломикронов и ЛПОНП. 
Новообразовавшийся ЛПВП состоит из дисокидного фосфолипидного бислоя, содержащего апоА и свободный холестерол. Эти липопротиены похожи на чиастицы, обнаруживаемые у пациентов с дефицитом плазматического фермента лецитин:холестерол-ацилтрансфераза (LCAT, ЛХАТ) и в плазме пациентов с обструктивной желтухой. LCAT и активатор LCAT - апо A-I - связываются с дискоидными частицами, и на поверхности ЛПВП образуются эфиры холестерола и лизолецитин. Неполярные эфиры холестерола перемещаются во внутреннюю гидрофобную часть бислоя, а лизолецитин переносится на сывороточный альбумин. Таким образом формируется ЛПВП. 
Класс B рецептор-мусорщик В1 (SR-B1) был определен, как рецептор ЛПВП, играющий двойную роль в метаболизме ЛПВП. В печени и гормон-продуцирующих тканях он связывает ЛПВП через апо А-I и эфир холестерола селективно доставляется в клетки, а остальные части и апобелки нет. В тканях, с другой стороны, SR-B1 способствует выбросу холестерола из клеток на ЛПВП, который затем транспортирует в печень для экскреции желчью (как холестерола, так желчных кислот), в процессе, известном под названием обратный транспорт холестерола.
ЛПВП3 образуемые из дискоидных ЛПВП под действием LCAT принимают холестерол из тканей через SR-B1и холестерол эстерефицируется LCAT, увеличивая тем самым размер частиц  образуя менее плотный ЛПВП2. ЛПВП3 затем преобразуется, так же как после селективной доставки эфира холестерина в печень через SR-B1 или путем гидролиза фосфолипида и триацилглицерола ЛПВП2 печеночной липазой и эндотелиальной липазой. Это образование ЛПВП3 в ЛПВП2 носит название цикл ЛПВП.
Хотя апо А-I высвобождается в этих процессах и образует пре-бета-ЛПВП, после связи с минимальным количеством фосфолипидов и холестерола. Излишек апо А-1 уничтожается в почках. Второй важный механизм реверса транспорта холестерола происходит с участием АТФ-связывающих кассетны транспортеров А1 (ABCA1) и G1 (ABCAG1). Эти транспортеры относется к семейству транспортных белков, которые обеспечивают гидролиз АТФ на связывающем субстрате, способствуя транспортировке через мембрану. АВСG1 катализирует реакцию транспорта холестерола из клетки на ЛПВП, тогда как АBCA1 в основном обеспечивает переход слабо липидизированных частиц, такие как пре-бета-ЛПВП или апо-А-1, которые затем конвертируются до ЛПВП3 через дискоидные ЛПВП. Пре-бета-ЛПВП - это наиболее мощная форма от ЛПВП, индуцирующая выход холестерола из тканей. 
Коцентрация ЛПВП изменяется реципроктно от плазматической концентрации триацилглицеролов и напрямую от аткивности липопротеинлипазы.

Печень играет центральную роль в транспорте липидов и метаболизме

Печень играет следующие главные функции в транспорте липидов:
1. Способствует переварению и абосрбции липидов, производя желчь, которая содедрижт холестерол и желчные соли, синтезируемые в печени de novo или после захвата холестерина липопротеинов.
2. Активно синтезирует и окисляет жирные кислоты, а также синтезирует триацилглицеролы и фосфолипиды.
3. Конвертирует жирные кислоты в кетоновые тела (кетогенез).
4. Играет интегральную роль в синтезе и метаболизме плазматических липопротеинов.

Печеночная секреция ЛПОНП зависит от пищевого и гормонального статуса.

Триацилглицеролы для образования ЛПОНП синтезируются из СЖК. СЖК доставлются из двух возможных источников:
1. синтезе de novo в печени из ацил-СоА, в основном из углеводов (возможно не очень важный путь у человека)
2. захват СЖК из циркуляции.
Первый источник в основном работает в сытом состоянии, и триацилглицеролы в норме не накапливаются в печени при этих состояниях, то есть транспортируются из печени в ЛПОНП, настолько же быстро, насколько синтезируются.
СЖК из циркуляции - основной источник во время голодания, диете, богатой жирами, диабете, и когда печеночный липогенез ингибируется.
Факторы усиливающие синтез триацилглицеролов и секрецию ЛПОНП включают:
1) диета богатая углеводами (особенно если она содержит сахарозу или фруктозу);
2) высокий уровень циркуляции СЖК;
4) употребление этанола;
5) наличие высоких концентраций инсулина и низкой концентрации глюкагона, который усиливает синтез жирных кислот и эстерификацию и ингибирует окисление. 
Инсулин подавляет печеночную секрецию ЛПОНП и синтез апо-В-100, ингибирую конверсию более мелких ЛПОНП2 в ЛПОНП1, присоединияющих объемные триацилглицеролы. Другие факторы ингибируют сборку ЛПОНП  в печени:
 - антибиотик брефелдин А;
 - гипогликемические препараты сульфонилмочевины;
 - толбутамид;
 - диетическая омега-3 жирная кислота;
 - оротовая кислота
 - промежуточные метабболиты синтеза пиримиднов снижают скорость липолиза ТГ
 - дефект в гене МТП.
Глюкоза, с другой стороны, усиливает продукцию ЛПОНП в печении и участвует во взаимодействи между гормональными и диетическими факторами, которые до конца еще не понятны.

Клинические аспекты

Нарушение баланса между скоростью образования триацилглицеролов и экспортом их приводит к жировому перерождению печени

По многим причинам, липиды - главным образом в форме триацилглицеролов - могут накапливаться в печени. Излишнее накопление приводит к патологическому состоянию. 
Неалкогольная жировая болезнь печени (НЖБП) - наиболее частое печеночное заболевание во всем мире. Когда накопление липидов в печени становится хроническим, воспалительные и фиброзные изменения могут приводить к неалкогольному стеатогепатиту (НСГ), который прогрессирует до таких заболеваний печени, как цирроз, гепатокарцинома и печеночночная недостаточность.
Выделяют две основные категории жировой дегенерации печени.
Первый тип ассоциирован с повышенным уровень плазматических свободных жирных кислот, из-за мобилизации жира из жировой ткани или гидролиза липопротеинов триацилглицерола липопротеинлипазой в экстрапеченочных тканях. Производство ЛПОНП идет синхроннос повышенным поступление и эстерификацией СЖК, позволяя триацилглицеролам накапливаться, что в свою очередь вызывает жировую болезнь печени. Это имеет место при голодании и питании богатом жирами. 
Способность секретировать ЛПОНП может быть нарушена (при голодании). При некоторолируемом сахарном диабете жировая инфильтраци столь значительно тяжелая, что вызывает побледение и увеличение печени, с возможной дисфункцией.
Второй тип жировой болезни вызывается метаболическим блоком образования плазматических липопротеинов, что приводит к накоплению триацилглицеролов. Теоретически это поражение может быть вызвано:
1) блокированием синтеза аполипопротеинов (или увеличеннная их дегарадация до того, как они смогут встроиться в ЛПОНП);
2) блокировка синтеза липопротеинв из липидов и аполипопротеинов;
3) нарушение поступления фосфолипидов для липопротеинов;
4) нарушение собственно скереторного механизма.
При недостатке витамина Е возрастает число некротических участков печени при ее жировом перерождении, вызванном недостатком холина. Защитное действие оказывает прием витамина Е или селен-содержащих соединений. Жировое перерождение может возникать при недостатке белков, а также незаменимых жирных кислоты и витаминов (например, линолеивой кислоты,  пиридоксина и пантотеновой кислоты). При недостатке жирных кислот тормозиться синтез фосфолипидов.

Этанол также вызывает жировую болезнь печени

Алкогольная жировая печень - это первая стадия алкогольной болезни печени (АБП), вызываемой алкоголизмом, приводящим, в конечном счете, к циррозу. Жир, накапливаемый в печени, вызван комбинацией, как нарушения окисления жирных кислот, так и повышенным липогенезом, который, как полагают, происходит из-за изменения редокс-потенациала ([NADH]/[NAD+] в печени, а также взаимодействием действия транскрипционных факторов, регулирующих экспрессию ферментов, вовлеченных в метаболизм. Окисление этанола алкгольдегидрогеназой приводит к повышнной продукции NADH, который конкурирует за дыхательную цепь с всстанавливающими эквивалентами других субстратов, включая жирные кислоты. 
Это ингибирует их окисление и вызывает повышенную эстерификацию жирных кислот с образованием триацилглицеролов, приводя к жировой печени. Окисление этанола приводит к образованию ацеталдегида, который окисляется альдегиддегидрогеназой с образованием ацетата. Увеличение соотношения (NADH)/(NAD+) также приводит увеличению отношения (лактат)/(пируват), в результате чего развивается гиперпролактатемия, что снижает способность почек экскретировать мочевую кислоту, усиливая проявления подагры.
Некоторый процессы метаболизма этанола проходять через цитохром Р450-зависимый микросомальный этанол-окисляемой системе (МEOS, МЭОС), функционирующей при участии NADPH и О2. Эта система повышает свою активность при хроническом алкоголизме, и объясняет повышенный метаболический клиренс и содержание в крови ацетальдегида и ацетата в этом состоянии. Этанол также блокирует метаболизм некоторых лекарств, например, барбитурато, конкурируя с ними за цитохром Р450-зависимые ферменты.
В некоторых азиатских популяциях и коренных американцев, употребление алкоголя приводит к усиленным побочным эффектам ацетальдегида из-за генетического дефекта митохондриальной альдегиддегидрогеназы.

Сывороточный холестерол ассоциирован с атеросклерозом и коронарной болезнью сердца (см.выше)

Атеросклероз - воспалительное заболевание, характеризующееся отложением холестерола и эфиров холестерола в форме плазматических липопротеинов в артериальной стенке и это является основной причиной коронарной болезни сердца. 
Повышение уровная плазматического холестерола более 5,2 ммоль/л - один из наиболее важных факторов провоцирующих атеросклероз, но сейчас, признают, что и повышение уровня сывороточного триациглицерола также служит независимым фактором риска.
Заболевания, при которых наблюдается длительное повышение уровней ЛПОНП, ЛППП, остатков хиломикровно или ЛПНП в крови (например, сахарный диабет, липоидный нефроз, гипотиреоз  и другие состояния гиперлипидемий) часто сопровождаются ранным или более тяжелым атеросклерозом. 
Существует также обратная зависимость между концентрацией ЛПВП (ЛПВП2) и вероятностью ишемической болезни сердца отношение ЛПНП/ЛПВП - положительный предиктивный параметр.
Концентрация холестерола в крови у различных индивидуумов сильно зависит от наследственных факторов.
Большое внимание уделялось замене содержащихся в пище насыщенных жирных кислот на полиненасыщенные жирные кислоты, как фактору, вызывающему снижение уровня холестерола в крови. Богатые линолевой кислотой растительные масла, например, арахисовое, хлопковое, кукурузное, соевое способствуют снижению уровня холестерола в плазме крови, тогда как потребление сливочного масла, говяжьего жира и кокосового масла, которые содержат преимущественно насыщенные жирные кислоты, проиводит к его повышению. Сахароза и фруктоза в большей степени, чем другие углеводы, способствуют повышению уровня липидов, в первую очередь тирацилглицероло в крови.
Развитию ишемической болезни сердца способствуют также высокое артериальное давление, курение, мужской пол, ожирение (особенно абдоминальное), отсутствие физической нагрузки и употребление мягкой воды вместо жесткой. К факторам, вызывающим повышение или колебание уровня свободных жирных кислот, относятся эмоциональный стресс и употребление фое, а также прием пищи с большими перерывами и в больших количествах. Многие из этих факторов не оказываются влияние на женщин, возможно это связано с эффектами эстрогенов. Также существует связь с умеренным употреблением алкоголя, и более низким уровнем случаев коронарной болезни сердца. 

Динамика жиров во время упражнений

Внутриклеточный и внеклеточный жир снабжает от 30 до 80% потребности в энергии во время физической активности, в зависимости от питательного и физического статуса, интенсивности упражений и их длительности. 
Усиление кровотока через жировую ткань увеличивает высвобождение СЖК для использования мышцами. Количество жира, используемого для энерегии при легкой и умеренной нагрузке различается в три раза, по сравнению с состоянием покоя. При повышении интенсивности упражнений (больше процент аэробной нагрузки), жировая ткань не справляется с высвобождением СЖК, достигая не многим уровня покоя, что ведет к снижению уровня плазматических СЖК. Это, в свою очередь, стимулирует высвобождение гликогена из мышц. 
Энергетическое снабжение из внутримышечных триглицеридов ранжируется от 15 до 35% среди тренированных ателтов, катализирующих наибольшее количество и существенно снижено среды лиц с ожирением или 2-м типом сахарного диабета. Длительное потребление высокожировой диеты, индуцирует энизматическую адаптацию и усиление окисление жиров во время субмаксимального упражнения. К сожалению, эта адаптация не улучшает выполнение упражнений. 
Основной источник энергии для легких и умеренных упражнений происходит из жирных кислот, высвобождаемых из депо триглицеридов и доставляются в мышцы в форме СЖК и внутримышечный триглицерид.
Начало упражнений вызывает переходное падение концентрацию плазматических СЖК, из-за повышенного захвата СЖК активными мышцами. 
Последующее высвобождение СЖК из жировой ткани с параллельным подавлением синтеза триглицеридов происходит благодаря:
1) гормональной стимуляции симпатической нервной системы;
2) снижение плазматического уровня инсулина.
Во время умеренных нагрузок, приблизительно равномерное снабжение энергии происходит из углеводов и жиров. Когда упражнение на этом уровне длится более 1 часа, катаболизм жиров постепенное увеличивает долю в энерегтическом снабжении; это сопровождается снижением запасов гликогена. Доступность углеводов также влияет на использование жиров, в качестве энергии. С адекватным резервом гликогена, углеводы становятся более предпочтительным источником энергии, во время интенсивных аэробных нагрузок, потому что у них более высокая скорость катаболизма. К концу длительной нагрузке (когда резервы гликогена практически истощаются), жиры, в основном циркулируют в форме СЖК, снабжая до 80% от потребностей организма. 
Увеличение катаболизма жиров во время пролонгированных упражений, возможно результат низкого уровня глюкозы и снижение уровня инсулина (потенциальный ингибитор липолиза), с параллельным увеличением выходом глюкагона из подежулдочной железы. Такие ответы снижают катаболизмы глюкозы и их потенциальный ингибиторный эффект на расщепление длинноцепочечных жирных кислот, и стимулиря, таким образом, высвобождение энергии из СЖК.
Исследования показали, что главная роль углеводов, в основном в форме мышечных гликогенов, являются предпочтительным источником энергии при нагрузках высокой интенсивности. 
Регулярная аэробная нагрузка значительно улучашает окисление длинно-цепочечных жирны кислот, в основном форме триглицеридов в активных мышцых, во время мягких-умеренно интенсивных упражнений. 
7 факторов могут объяснить, почему тренировка увеличивает катаболизм во время упражнений:
1. Способность жирных кислоты мобилизоваться из жировой ткани через повышенную скорость липолиза в адипоцитах;
2. Пролиферация капилляров в тренированной мышце, которая увеличивает общее число и плость этих микрососудов для энерегитической субстратной доставки;
3. Улучшенный транспорт СЖК через мембрану мышечных волокон;
4. Увеличение транспорта жирных кислот в пределах мышечной клетки, медиированный карнитином и кранитин-ацитил-трансферазой;
5. Увеличение размера и числа митохондрий;
6. Повышенное количество ферментов, вовлеченных в бета-окисление, метаболизм лимонной кислоты и электронтраспортной пути в специализированных тренированных мышечных волокнах;
7. Поддержание клеточной целостности и функциональности, которые усиливают длительность выполнения и независимость от резервов гликогена. 
Выносливые спортсмены могут выполнять упражнения на абсолютно субмаксимальном уровне с улучшенной способсностью жирового окисления до наступаления эффекта усталости от снижения уровня гликогена.
Есть вопрос? Напишите нам!
Наверх